20:26:30 EST Sat 07 Feb 2026
Enter Symbol
or Name
USA
CA



Kingsmen Resources Ltd (3)
Symbol KNG
Shares Issued 19,349,919
Close 2024-04-03 C$ 0.29
Market Cap C$ 5,611,477
Recent Sedar+ Documents

Kingsmen talks results of Soledad sample analyses

2024-04-04 12:17 ET - News Release

Mr. Scott Emerson reports

KINGSMEN RESOURCES: SOLEDAD MINE AREA MULTI ELEMENT SAMPLE ANALYSIS YIELDS SIGNIFICANT RESULTS

Kingsmen Resources Ltd. has recently completed multielement analyses on all rock samples collected in and around the old Soledad mine area (one square mile) of the total Las Coloradas project. The Las Coloradas project is located 30 kilometres from Hidalgo de Parral, Chihuahua, Mexico. Portions of the Soledad structure were mined by ASARCO (American Smelting and Refining Company), the United States-based subsidiary of Grupo Mexico in the period 1944 to 1952.

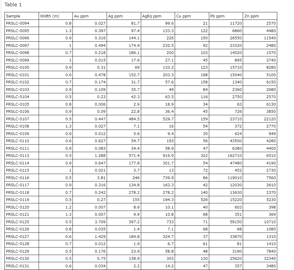
The silver values and silver equivalent values for the Soledad mine area targets and subsidiary structures are presented herein. Silver equivalent values are, over all, significantly higher than the silver grades and reflect the silver-lead-zinc gold-copper composition of the mineralization. The Soledad mine area is presently one of four areas recognizable for significant mineralization.

Kingsmen's sampling of residual mineralization in the old workings (where accessible) on the northwest-trending Soledad structure/vein system, and subsidiary structures, confirmed the presence of high-grade silver mineralization which likely continues at depth below the water table. Sample widths ranged from 0.5 to 1.3 metres. The Soledad structure/vein system, as currently recognized, is approximately 1.7 kilometres long. Blind extensions to all the mineralized structures, as well as new structures, are likely at depth. The underground ASARCO workings (1943 to 1952) are located on the southern end of the Soledad vein system. The workings extend in excess of 250 metres along strike and to a vertical depth of approximately 125 metres on four levels. The workings did not extend below the water table.

The mineralization is shallow, high-grade, silver-gold-lead-zinc-copper quartz-calcite veins hosted by all rock types in structures that cut all rock types. The sizes of the old workings suggest the mined mineralization may have been up to several metres in width. The mineralized structures have not been explored by drilling. There are strong similarities/parallels with the mineralization in the underground Santa Barbara mine where vein systems vary from three to 6.5 km along strike and the vertical extension of the shoots have a vertical extension of up to 900 metres. The Santa Barbara mine is an underground mining complex belonging to Grupo Mexico, Mexico's largest mining company.

Scott Emerson, president, commented, "As we continue with our systematic and disciplined exploration approach on this newly consolidated district, the results from the Soledad mine area are confirming that distinct areas of mineralization are recognizable indicating potential for significant mineralization in the other locales as we identify new and existing target areas for our drill campaign."

Quality assurance/quality control program

The QA/QC program employs blanks and certified reference standard, and check sampling. Samples from separate areas were analyzed at Actlabs, Zacatecas. Sealed and tagged sample bags were transported to the laboratory where the entire sample was crushed to a nominal minus two millimetres, mechanically split to obtain a representative subsample and then pulverized to at least 95 per cent minus 105 microns (micrometres).

All samples were analyzed for gold by fire assay fusion -- atomic absorption finish. All samples were analyzed for silver by aqua extraction with inductively coupled plasma finish. Multielement analysis was by four-acid extraction with inductively coupled plasma optical emission spectroscopy finish.

About Las Coloradas

Acquired and consolidated in 2023, the 100-per-cent-owned Las Coloradas project (8.5 square km -- 3.3 square miles) represents a consolidation of a historic mining district which covers numerous silver-gold-lead-zinc-copper mines previously exploited by ASARCO (American Smelting and Refining Company), the U.S.-based subsidiary of Grupo Mexico.

Las Coloradas is in the Parral mining district of the Central Mexican silver belt, and is located approximately 30 kilometres southeast of the city of Hidalgo de Parral and 40 kilometres east of the San Francisco de Oro and Santa Barbara mining districts where several old major mines are located, such as La Prieta, Veta Colorada, Palmilla, Esmeralda, San Francisco del Oro and Santa Barbara. As well, new major mining projects are currently being explored in the district; Cordero (Discovery Silver Corp.), 35 km north of Parral, and La Cigarra (Kootenay Silver Inc.), 35 km northwest of Parral.

Qualified person

Dr. Kieran Downes, PhD, PGeo, a qualified person as defined by National Instrument 43-101, has reviewed and approved the scientific and technical disclosure set out in this news release.

About Kingsmen Resources Ltd.

In line with Kingsmen's organic-growth strategy, the company's focus is on exploration and development, and is currently focused on district-scale exploration for high-margin metallic mineral deposits in the prolific mining districts of Parral, Mexico. In addition, the company has a 1-per-cent net smelter return on the Los Ricos North project in Mexico operated by GoGold Resources Inc. The company's leaders have extensive experience in the mining and financial sectors. Kingsmen is a publicly traded company and is headquartered in Vancouver, B.C.

We seek Safe Harbor.

© 2026 Canjex Publishing Ltd. All rights reserved.