03:39:33 EST Sun 08 Feb 2026
Enter Symbol
or Name
USA
CA



Kodiak Copper Corp
Symbol KDK
Shares Issued 85,795,115
Close 2025-08-20 C$ 0.62
Market Cap C$ 53,192,971
Recent Sedar+ Documents

Kodiak Copper drills 111.3 m of 0.46% CuEq at MPD

2025-08-21 14:49 ET - News Release

Ms. Claudia Tornquist reports

KODIAK DRILLS 0.46% CUEQ OVER 111 M FROM SURFACE AT THE SOUTH ZONE; CONFIRMS CONTINUITY OVER 950 M OF STRIKE LENGTH

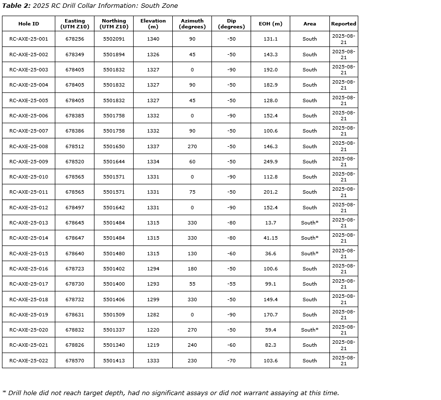
Kodiak Copper Corp. has released the first drill results from the 2025 drill program at its 100-per-cent-owned MPD copper-gold porphyry project in Southern British Columbia. The program focused on near-surface infill and confirmation drill holes at the west, adit and south zones using a combination of diamond and reverse circulation drilling (RC). Results from 22 RC (reverse circulation) holes at the south zone totalling 2,746 metres are presented in this news release.

Highlights:

  • Kodiak's 2025 drilling at the south zone confirmed near-surface copper-gold mineralization over 950-metre (m) strike length at this extensive zone.
  • The south zone remains open in multiple directions and at depth, with all 2025 drill holes ending in mineralization and most drilling completed to date within 250 m of the surface.
  • South zone drill result highlights include the following:
    • RC-AXE-25-010 intersected 0.39 per cent copper (Cu), 0.10 gram per tonne (g/t) gold (Au) and 1.63 g/t silver (Ag) (0.46 per cent copper equivalent (CuEq)) over 111.3 m from 1.5 m to 112.8 m, including a higher-grade interval of 0.51 per cent Cu, 0.13 g/t Au and 2.24 g/t Ag (0.62 per cent CuEq) over 59.4 m from 1.5 m to 60.9 m.
    • RC-AXE-25-016 intersected 0.27 per cent Cu, 0.05 g/t Au and 2.54 g/t Ag (0.33 per cent CuEq) over 96 m from 4.6 m to 100.6 m.
    • RC-AXE-25-006 intersected 0.26 per cent Cu, 0.06 g/t Au and 0.99 g/t Ag (0.30 per cent CuEq) over 147.8 m from 4.6 m to 152.4 m, including 0.37 per cent Cu, 0.09 g/t Au and 1.34 g/t Ag (0.44 per cent CuEq) over 51.8 m from 61 m to 112.8 m.
  • Further drill results, including from the west and adit zones, are expected in Q3 (third quarter). At both these zones, substantial near-surface, high-grade mineralization was intersected in past drilling.
  • The 2025 drill results will be used to develop a mineral resource estimate (MRE) for the south, west and adit zones, expected in Q4 (fourth quarter). Together with the MRE for the Gate, Ketchan, Man and Dillard zones released in Q2 (second quarter) (news release dated June 25, 2025), this will complete the initial MRE for the MPD project.
  • The 2025 drill program at MPD totalled 5,003 m in 31 RC drill holes (3,598 m) and 13 diamond drill holes (1,405 m), and was successfully completed on time and on budget. Fieldwork for the remainder of the season is focused on detailed geological mapping, prospecting and geological investigation around known zones and priority targets, including VRIFY areas of interest.

"We are very encouraged by the consistency of mineralized intercepts over a substantial strike length at the south zone," said Claudia Tornquist, president and chief executive officer of Kodiak. "These results not only confirm historic drilling but also significantly strengthen our confidence as we move toward adding the south zone to our mineral resource estimate for the MPD project. We are expecting more results in Q3 from the west and adit zones, which had some of the highest-grade near-surface intercepts on the project in previous drilling, and are looking forward to seeing how these zones will contribute to the full mineral resource."

Drilling at the south zone confirmed historical drilling results and improved the geological confidence in areas of lower drill density. The south zone consists of altered and mineralized volcanic rocks and altered, coarse-grained monzonite porphyry stocks. Mineralization is predominantly copper with lesser gold and minor molybdenum. The south zone, in combination with the historical adit and middle zones, correlates well with a 2.3-kilometre-long copper-in-soil anomaly and related induced polarization chargeability responses, and these zones are interpreted to form a single, large system. The middle zone is now considered to be an extension of the south zone.

A track-mounted Super Hornet reverse circulation drill rig supplied by Northspan Ltd., based in Kelowna, B.C., was used to drill at the south zone. Representative samples of drill cuttings were collected at 10-foot (ft) intervals, and the material was homogenized and split in the field to produce representative samples of approximately five kilograms (kg) of material. Samples were then submitted to Activation Laboratories Ltd. (Actlabs) in Kamloops for analysis.

Sampling, laboratory analyses and QA/QC (quality assurance/quality control) procedures

The RC drill chips are sampled and assayed every ft (3.04 m). Laboratory samples are approximately five kg and a five kg archive sample is also retained as reference. All samples are delivered to accredited laboratory Actlabs, Kamloops, B.C., for preparation and fire assay prior to being shipped to its Ancaster, Ont., laboratory for multielement analysis. The samples are analyzed for gold by fire assay fusion with an AA (atomic absorption) finish. If samples return gold values over 10 parts per million (ppm), samples are reanalyzed by fire assay with gravimetric finish. Samples then undergo four-acid digestion and ICP-OES (inductively coupled plasma optical emission spectroscopy) and ICP-MS (inductively coupled plasma mass spectrometry) analysis for 48 elements. Samples that return copper values above 10,000 ppm are further analyzed using a near-total digestion, ICP-OES package. Actlabs meets all requirements of ISO/IEC 17025:2015 and ISO 9001:2015 for analytical procedures. In addition to Actlabs QA/QC protocols, Kodiak implements an internal QA/QC program that includes the insertion of sample blanks, duplicates and certified reference materials, at a rate of one per 10 samples.

Dave Skelton, PGeo, vice-president of exploration and the qualified person as defined by National Instrument 43-101, has approved and verified the technical information used in this news release.

Change to the board of directors

Kodiak also announces the resignation of Kevin Tomlinson as a director of the company, effective Aug. 25, 2025, due to a requirement to reduce the number of boards he serves on. Mr. Tomlinson will remain an adviser of the company.

About Kodiak Copper Corp.

Kodiak is focused on its 100-per-cent-owned copper porphyry projects in Canada and the United States that have been historically drilled and present known mineral discoveries with the potential to hold large-scale deposits. Kodiak Copper's most advanced asset is the 100-per-cent-owned MPD copper-gold porphyry project in the prolific Quesnel terrane in south-central British Columbia, Canada, a mining district with producing mines and excellent infrastructure. MPD exhibits all the hallmarks of a major, multicentred porphyry district with the potential to become a top-tier mine. To date, drilling has outlined seven substantial mineralized zones across the property and Kodiak is delivering an initial resource estimate for MPD in 2025. The estimate for the first four mineralized zones has already highlighted the scale and potential of the project. Drill results on the remaining three zones from Kodiak's 2025 exploration program will be incorporated into the full initial resource estimate, expected by the year-end. With known mineralized zones open to expansion and multiple untested targets, Kodiak continues to systematically explore the district-scale potential of MPD to build critical mass and make the next discovery.

Kodiak's founder and chairman is Chris Taylor, who is known for his gold discovery success with Great Bear Resources. Kodiak is also part of Discovery Group, led by John Robins, one of the most successful mining entrepreneurs in Canada.

We seek Safe Harbor.

© 2026 Canjex Publishing Ltd. All rights reserved.