03:54:13 EST Sat 07 Feb 2026
Enter Symbol
or Name
USA
CA



Goldshore Resources Inc
Symbol GSHR
Shares Issued 436,037,861
Close 2025-07-25 C$ 0.445
Market Cap C$ 194,036,848
Recent Sedar+ Documents

Goldshore Resources drills 22 m of 1.30 g/t Au at Moos

2025-07-25 18:46 ET - News Release

Mr. Michael Henrichsen reports

GOLDSHORE INTERSECTS ADDITIONAL MINERALIZATION BENEATH THE CONCEPTUAL OPEN PIT AT THE SOUTHWEST ZONE WITH 22M OF 1.30 G/T AU

Goldshore Resources Inc. has released the latest assay results from its recently completed 20,000-metre (m) winter drill program, with the final results from the Southwest zone of the Moss gold project in Northwestern Ontario, Canada. A total of 5,000 m were drilled targeting the area underneath the conceptual open pit at the Southwest zone of the Moss deposit with the goal of expanding the resource beneath the current proposed open pit for a future mineral resource estimate.

Michael Henrichsen, chief executive officer of Goldshore, commented: "We are pleased with the results of the program underneath the Southwest pit, demonstrating good widths at above average resource grades supported by several parallel marginal shears. The new drilling in conjunction with previous intercepts located beneath the conceptual open pit at the Southwest zone gives us confidence in adding significant additional ounces in a future resource estimate based on the success of the recently completed winter drill program."

The latest drilling at the Southwest zone focused on infilling the sparsely drilled area between the current MRE (mineral resource estimate) conceptual open pit and the high-grade intercepts encountered up to 175 m further below, including previously released mineralized intercepts of: 39.75 m of 1.18 grams per tonne (g/t) gold (Au) from 440.25 m, including 14.60 m of 2.65 g/t Au from 462.2 m, in MMD-22-023 (Aug. 10, 2022); 23.0 m of 1.92 g/t Au from 514.0 m, including 1.55 m of 22.9 g/t Au from 514.0 m, in MMD-22-25 (June 6, 2022); 20.55 m of 2.58 g/t Au from 458.15 m, including 14.7 m of 3.52 g/t Au, in MMD-24-139 (Feb. 20, 2025); and 15.0 m of 1.68 g/t Au from 456 m, including 3.0 m of 3.19 g/t Au from 458.0 m, in MMD-25-140 (March 20, 2025).

Highlights

Seven drill holes were completed to infill a data gap between shallow and deep intercepts at the Southwest zone and a consequent gap in the resource model that is treated as waste in the pit optimization process.

Three holes intersected high-grade core shears, with best intercepts of:

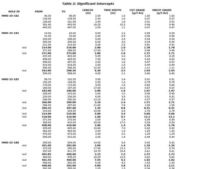
  • 12.3 m of 1.11 g/t Au from 556 m in MMD-25-183, including:
    • 6.3 m of 1.94 g/t Au from 562 m;
  • 10.0 m of 2.76 g/t Au from 314 m in MMD-25-185, including:
    • 5.0 m of 5.06 g/t Au from 314 m;
  • 22.0 m of 1.30g/t Au from 533 m in MMD-25-191, including:
    • 3.9 m of 3.48 g/t Au from 541.1 m.

All seven drill holes intersected multiple parallel shear zones that confirmed the continuity of the shear zone system both laterally and at depth, and demonstrate the potential to add to ounces to the existing mineral resource estimate. Highlights from these peripheral shear zones, which include narrow zones of plus one g/t Au, are presented in table No. 1.

Technical overview

Table No. 2 and table No. 3 summarize significant intercepts and drill hole locations, respectively. All seven drill holes were drilled to infill a data gap between shallow and deep intercepts at the Southwest zone and a consequent gap in the resource model that is treated as waste in the pit optimization process.

Holes MMD-25-182, MMD-25-190 and MMD-25-191 were drilled on the eastern side of the Southwest zone and collared into a generally undeformed porphyritic diorite before transitioning into an alternating sequence of sericite-chlorite altered brecciated dacitic volcanics and weakly mineralized hematite-sericite-silica altered diorite dikes. All three holes intersected the primary diorite complex of the Southwest zone toward the end of the holes encountering sheared sericite-silica-hematite altered diorites and granodiorites with 2 to 3 per cent pyrite-chalcopyrite. MMD-25-182 was terminated early into the diorite complex, as it had already intersected its primary target. The mineralized diorites returned wide intercepts of moderate to high grades, including: 18.2 m of 0.46 g/t Au from 381.8 m in MMD-25-182; 10.0 m of 0.97 g/t Au from 260.0 m, including 2.0 m of 2.54 g/t Au from 262.0 m and 24.6 m of 0.50 g/t Au from 342.4 m, in MMD-25-190; and 20.0 m of 0.54 g/t Au from 241.0 m and 22.0 m of 1.30 g/t Au from 533 m, including 3.9 m of 3.48 g/t Au from 541.1 m, in MMD-25-191.

Holes MMD-25-183, MMD-25-185, MMD-25-188 and MMD-25-189 were drilled on the western side of the Southwest zone and all collared into the northern dacite volcanic package consisting of silica-sericite altered brecciated dacite volcanics with localized metre scaled diorite dikes increasing with frequency at depth. All holes transitioned into the primary Southwest zone diorite complex of sericite-silica-hematite altered diorites and granodiorites with locally moderately to strongly shears bearing 3 to 5 per cent pyrite-chalcopyrite. These sheared sections returned low-grade to high-grade mineralized intercepts, such as: 17.0 m of 0.48 g/t Au from 371.0 m and 12.3 m of 1.11 g/t Au from 556 m, including 6.3 m of 1.94 g/t Au from 562 m, in MMD-25-183; 17.0 m of 0.67 g/t Au from 180 m, including 3.0 m of 1.67 g/t Au from 183 m, 11.6 m of 1.06 g/t Au from 286 m and 10.0 m of 2.76 g/t Au from 314 m, including 5.0 m of 5.06 g/t Au from 314 m, in MMD-25-185; 17.65 m of 0.70 g/t Au from 372.35 m and 18.25 m of 0.62 g/t Au from 460.0 m in MMD-25-188; and 14.3 m of 0.68 g/t Au from 310.7 m, including 4.25 m of 1.67 g/t Au from 314.0 m, 22.0 m of 0.55 g/t Au from 474.0 m, including 3.0 m of 1.68 g/t Au from 474.0 m, in MMD-25-189.

Analytical and QA/QC (quality assurance/quality control) procedures

The HQ-diameter drill core has been oriented using ACTIII or equivalent tools and validated in the core shack. All core has been sawed in half, cut just off the core orientation line (bottom of hole), with the right half (looking downhole) of the core bagged and sent a third party analytical laboratory. The left half of the core was returned to core boxes and is stored at Goldshore's Kashabowie core yard facility.

All samples were sent to ALS Geochemistry in Thunder Bay for preparation and analysis was performed in the ALS Vancouver analytical facility. ALS is accredited by the Standards Council of Canada (SCC) for the Accreditation of Mineral Analysis Testing Laboratories and CAN-P-4E ISO/IEC 17025. Samples were analyzed for gold via fire assay with an AA (atomic absorption) finish (Au-AA23) and 48 pathfinder elements via ICP-MS (inductively coupled plasma mass spectrometry) after four-acid digestion (ME-MS61). Samples that assayed over 10 parts per million (ppm) Au were rerun via fire assay with a gravimetric finish (Au-GRA21).

In addition to ALS QA/QC protocols, Goldshore has implemented a quality control program for all samples collected through the drilling program. The quality control program was designed by a qualified and independent third party, with a focus on the quality of analytical results for gold. Analytical results are received, imported to the company's secure on-line database and evaluated to meet the company's established guidelines to ensure that all sample batches pass industry best practice for analytical quality control. Certified reference materials are considered acceptable if values returned are within three standard deviations of the certified value reported by the manufacture of the material. In addition to the certified reference material, certified blank material is included in the sample stream to monitor contamination during sample preparation. Blank material results are assessed based on the returned gold result being less than ten times the quoted lower detection limit of the analytical method. The results of the continuing analytical quality control program are evaluated and reported to Goldshore by Orix Geoscience Inc.

Qualified person

Peter Flindell, PGeo, MAusIMM, MAIG, vice-president, exploration, of the company and a qualified person under National Instrument 43-101, Standards of Disclosure for Mineral Projects, has approved the scientific and technical information contained in this news release.

Mr. Flindell has verified the data disclosed. To verify the information related to the winter drill program at the Moss gold project, Mr. Flindell has visited the property several times; discussed and reviewed logging, sampling, bulk density, core cutting and sample shipping processes with responsible site staff; discussed and reviewed assay and QA/QC results with responsible personnel; and reviewed supporting documentation, including drill hole location and orientation, and significant assay interval calculations. He has also overseen the company's health and safety policies in the field to ensure full compliance, and consulted with the project's host indigenous communities on the planning and implementation of the drill program, particularly with respect to its impact on the environment and the company's remediation protocols.

About Goldshore Resources Inc.

Goldshore is a growth-oriented gold company focused on delivering long-term shareholder and stakeholder value through the acquisition and advancement of primary gold assets in Tier 1 jurisdictions. It is led by the ex-global head of structural geology for the world's largest gold company and backed by one of Canada's pre-eminent private equity firms. The company's current focus is the advanced-stage 100-per-cent-owned Moss gold project, which is positioned in Ontario, Canada, with direct access from the Trans-Canada Highway, hydroelectric power near site, supportive local communities and skilled work force. The company has invested over $75-million of new capital and completed approximately 100,000 metres of drilling on the Moss gold project, which, in aggregate, has had over 255,000 metres of drilling. The 2024 updated National Instrument 43-101 MRE has expanded to 1.54 million ounces of indicated gold resources at 1.23 g/t Au and 5.20 million ounces of inferred gold resources at 1.11 g/t Au. The MRE only encompasses 3.6 kilometres of the 35-plus-kilometre mineralized trend, remains open at depth and along strike, and is one of the few remaining major Canadian gold deposits positioned for development in this cycle. Please see NI 43-101 technical report, titled "Technical Report and Updated Mineral Resource Estimate for the Moss Gold Project, Ontario, Canada," dated March 20, 2024, with an effective date of Jan. 31, 2024, available under the company's SEDAR+ profile.

We seek Safe Harbor.

© 2026 Canjex Publishing Ltd. All rights reserved.