19:46:07 EST Sat 07 Feb 2026
Enter Symbol
or Name
USA
CA



Goliath Resources Ltd (2)
Symbol GOT
Shares Issued 103,990,955
Close 2024-01-08 C$ 0.80
Market Cap C$ 83,192,764
Recent Sedar+ Documents

Goliath drills 9.70 m of 10.94 g/t AuEq at Golddigger

2024-01-09 11:19 ET - News Release

Mr. Roger Rosmus reports

GOLIATH INTERCEPTS 10.94 GPT AUEQ OVER 9.70 METERS IN THE BONANZA SHEAR SIGNIFICANTLY INCREASES VOLUME AND AVERAGE GRADE OF THE MULTI-LAYERED HIGH-GRADE SUREBET GOLD SYSTEM

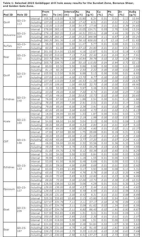
Goliath Resources Ltd. has released assay results for the remaining 99 new drill holes from the Surebet discovery at its 100-per-cent-controlled Golddigger property, Golden Triangle, British Columbia. The vast majority of reported holes intersected broad intervals of significant quartz-sulphide mineralization and widespread gold-silver mineralization expanding the volume and average grade of the Surebet zone, Bonanza shear and Golden Gate zone, all of which remain open. Highlights for the Surebet zone include drill hole GD-23-220, which assayed 13.24 grams per tonne gold equivalent (10.05 g/t gold and 154.71 g/t silver) over 5.10 metres, including 21.74 g/t AuEq (16.51 g/t Au and 253.41 g/t Ag) over 3.10 metres. Highlights for the Bonanza shear include drill hole GD-23-113, which intersected 10.94 g/t AuEq (10.80 g/t Au and 6.24 g/t Ag) over 9.70 metres, including 17.63 g/t AuEq (17.42 g/t Au and 9.51 g/t Ag) over six metres and 34.85 g/t AuEq (34.47 g/t Au and 17.48 g/t Ag) over three metres. Highlights for Golden Gate include drill hole GD-23-133, which intersected 4.96 g/t AuEq (4.76 g/t Au and 5.76 g/t Ag) over 7.85 metres, including 9.89 g/t AuEq (9.53 g/t Au and 10.80 g/t Ag) over 3.85 metres. This news release includes all not-yet reported assay results from drill core for the 2023 drill season.

The Bonanza shear, hosted at the contact between the Hazelton sediments and volcanics, was intersected in 104 drill holes with broad intervals of quartz-sulphide mineralization, 87 of which (84 per cent) intersected gold mineralization. The volume and grade of the Bonanza shear have been increased substantially to greater than 15 million cubic metres at 8.14 g/t AuEq (from 13 million cubic m at 2.71 g/t AuEq reported previously), demonstrating the increased importance of the Bonanza shear as an economic mineralized horizon of the Surebet system. The Surebet zone, hosted in the Hazelton sediments, was intersected in 106 drill holes with broad intervals of quartz-sulphide mineralization, 98 of which (92 per cent) intersected gold mineralization. The volume and average grade of the Surebet zone have been increased substantially to 6.8 million cubic m at 9.04 g/t AuEq (from 5.5 million cubic m at 6.31 g/t AuEq reported previously). The newly discovered Golden Gate zone, hosted within the Hazelton volcanics below the Bonanza shear, was intersected in 12 drill holes with broad intervals of quartz-sulphide mineralization, all of which (100 per cent) intersected gold mineralization and is modelled to comprise greater than 1.1 million cubic m with an average grade of 3.94 g/t AuEq and remains open, demonstrating the enormous additional discovery potential at depth.

Surebet zone drill highlights

Drill hole GD-23-220, collared from Wolverine pad, intercepted numerous occurrences of visible gold, as well as sulphides mineralization in quartz-stockwork and veins corresponding with the Surebet zone and assayed 13.24 g/t AuEq (10.05 g/t Au and 154.71 g/t Ag) over 5.10 metres, including 21.74 g/t AuEq (16.51 g/t Au and 253.41 g/t Ag) over 3.10 metres. Drill hole GD-23-221, collared from Bear pad, also intercepted multiple occurrences of visible gold and significant quartz-sulphide mineralization in veins and stockwork of the Surebet zone and assayed 4.43 g/t AuEq (4.16 g/t Au and 12.87 g/t Ag) over 13 metres, including 7.91 g/t AuEq (7.44 g/t Au and 22.40 g/t Ag). Drill hole GD-23-130, collared from Cliff pad, intersected the Surebet zone and assayed 4.66 g/t AuEq (3.53 g/t Au and 55.29 g/t Ag) over 5.70 metres, including 6.25 g/t AuEq (5.12 g/t Au and 55.36 g/t Ag) over 3.70 metres.

The mineralization in these holes is characterized by breccia, stockwork and veins of quartz, sphalerite (up to 10 per cent), galena (up to 8 per cent) and pyrrhotite (up to 15 per cent) hosted in a shear zone within strongly silicified mudstone and siltstone associated with heavy chlorite alteration. Multiple grains of visible gold were identified within the reported mineralized intervals.

The Surebet zone, hosted in the Hazelton sediments, was intersected in 106 drill holes with broad intervals of quartz-sulphide mineralization, 92 per cent intersected gold mineralization. The mineralization model has been updated with the latest assay results and the calculated potential volume of the Surebet zone is 6.8 million cubic m with an average grade of 9.04 g/t AuEq and remains open, which corresponds to an increase of 43 per cent in grade from the previously reported 6.31 g/t AuEq and an increase of 24 per cent in volume from previously reported 5.5 million cubic m.

Bonanza shear drill highlights

Drill hole GD-23-113, collared from Quoll pad intercepted multiple occurrences of visible gold and quartz-sulphide mineralization corresponding to the Bonanza shear and assayed 10.94 g/t AuEq (10.80 g/t Au and 6.24 g/t Ag) over 9.70 metres, including 17.63 g/t AuEq (17.42 g/t Au and 9.51 g/t Ag) over six metres and 34.85 g/t AuEq (34.47 g/t Au and 17.48 g/t Ag) over three metres. Multiple additional holes intercepted significant quartz-sulphide breccia, stockwork and veining of the Bonanza shear, including GD-23-217 which assayed 11.55 g/t AuEq (11.47 g/t Au and 5.77 g/t Ag) over five metres, including 57.41 g/t AuEq (57.10 g/t Au and 24.80 g/t Ag) over one metre; GD-23-119 which assayed 13.82 g/t AuEq (13.70 g/t Au and 9.77 g/t Ag) over four metres, including 16.67 g/t AuEq (16.53 g/t Au and 11.38 g/t Ag) over three metres; GD-23-140 which assayed 4.04 g/t AuEq (3.97 g/t Au and 3.46 g/t Ag) over 11 metres, including 7.30 g/t AuEq (7.20 g/t Au and 5.74 g/t Ag) over 7.20 metres; GD-23-155 which assayed 5.32 g/t AuEq (5.24 g/t Au and 2.84 g/t Ag) over eight metres, including 10.37 g/t AuEq (10.26 g/t Au and 4.80 g/t Ag) over four metres; GD-23-133 which assayed 4.96 g/t AuEq (4.76 g/t Au and 5.76 g/t Ag) over 7.85 metres, including 9.89 g/t AuEq (9.53 g/t Au and 10.80 g/t Ag) over 3.85 metres; and GD-23-127 which assayed 4.82 g/t AuEq (4.57 g/t Au and 5.44 g/t Ag) over eight metres, including 6.81 g/t AuEq (6.49 g/t Au and 6.95 g/t Ag) over five metres.

The mineralization of the intercepts of the Bonanza shear are similar to what is observed in the Surebet zone and are characterized by breccia, stockwork and veins of quartz, sphalerite (up to 8 per cent), galena (up to 10 per cent), chalcopyrite (up to 1 per cent) and pyrrhotite (up to 10 per cent) hosted in a shear zone generally located at or in close proximity to the contact of strongly silicified mudstone and siltstone associated with heavy chlorite alteration and chloritized volcanic rocks. Multiple grains of visible gold were identified within the reported mineralized intervals.

The Bonanza shear, hosted at the contact between the Hazelton sediments and volcanics, was intersected in 104 drill holes with broad intervals of quartz-sulphide mineralization, 84 per cent intersected gold mineralization. The mineralization model has been updated with the latest assay results and the calculated potential volume of the Bonanza shear is greater than 15 million cubic m with an average grade of 8.14 g/t AuEq and remains open. The volume has been increased by 15 per cent from previously reported 13 million cubic m. The average grade has been increased by 200 per cent from previously reported 2.71 g/t AuEq. This clearly demonstrates the increased importance of the Bonanza shear as a significant mineralized horizon of the Surebet system.

Golden Gate drill highlights

All drill holes that intersected the Golden Gate zone intercepted stacks of one to five m wide shears with broad quartz-sulphide mineralization. Drill hole GD-23-133 intersected 4.96 g/t AuEq (4.76 g/t Au and 5.76 g/t Ag) over 7.85 metres, including 9.89 g/t AuEq (9.53 g/t Au and 10.80 g/t Ag) over 3.85 metres; GD-23-183 intersected 4.61 g/t AuEq (4.51 g/t Au and 3.35 g/t Ag) over 3.50 metres and 6.55 g/t AuEq (6.26 g/t Au and 8.67 g/t Ag) over three metres; and GD-23-140 intersected 6.15 g/t AuEq (6.00 g/t Au and 4.72 g/t Ag) over three metres.

The mineralization observed in intercepts of the Golden Gate zone is similar to what is observed in the Surebet zone and the Bonanza shear, comprising shear-hosted veins with stringers, aggregations and in some instances breccia, with galena (up to 3 per cent), sphalerite (up to 10 per cent), chalcopyrite (up to 1 per cent) and pyrrhotite (up to 10 per cent). The host rock for the Golden Gate mineralization is a strongly chloritized andesite.

The newly discovered Golden Gate zone, hosted within the Hazelton volcanics and 20 metres below the Bonanza shear, was intersected in 12 drill holes with broad intervals of quartz-sulphide mineralization, 100 per cent intersected gold mineralization. The mineralization model has been updated with the latest assay results and the calculated potential volume of the Golden Gate zone is greater than 1.1 million cubic m with an average grade of 3.94 g/t AuEq and remains open.

One hole drilled in 2023, GD-23-197 intersected the Golden Gate zone and assayed 11.60 g/t AuEq (11.07 g/t Au and 23 g/t Ag) over 27 metres, including 14.83 g/t AuEq (14.17 g/t Au and 29.13 g/t Ag) over 21 metres and 34.03 g/t AuEq or 1.09 oz/t AuEq (32.55 g/t Au and 65.71 g/t Ag) over nine metres.

The footprint of the Surebet zone has been expanded to 1.8 square kilometres, the equivalent of greater than 336 NFL football fields. The results reported in this news release, coupled with intervals reported and modelled in the course of the project, demonstrate the existence of multiple extensive stacked bonanza-grade veins within 650 metres of the surface that have been tested to date. A study in collaboration with the Colorado School of Mines has confirmed that the mineralization formed at four to five km below the paleo-surface, confirming the excellent additional discovery potential at depth. To put this into perspective: there is potential for up to five to 10 times the number of stacked veins below the already discovered system corresponding to 10 times the height of the CN tower from top to bottom.

This original discovery has gone from idea to where it is today (22.9 million cubic m of rock) with only 12 months of boots on the ground, clearly demonstrating Surebet is a world-class discovery, and Goliath is likely only seeing the tip of the iceberg.

Roger Rosmus, founder and chief executive officer of Goliath Resources, states: "I would like to congratulate our team on an exceptional 2023 drilling season and thank our shareholders for their ongoing support. After only three drilling seasons and only 12 months in aggregate of boots on the ground, our Golddigger project is clearly evolving as a new world-class discovery in the prolific Golden Triangle region of British Columbia. With our aggressive drilling campaign in 2023, we were able to dramatically increase the volume of rock in our current model of the Surebet, Bonanza and Golden Gate zones totalling 22.9 million cubic m with an average grade of 7.74 g/t AuEq, that remains open. Our geological team continues to be impressed with the widespread gold mineralization with excellent continuity and predictability in the Surebet and Bonanza zones. We were also delighted with the high-grade gold hits in the Golden Gate zone, a game-changer event for the project because until this season all the drilling was in the sediments and contact between the volcanics. The Golden Gate zone is our newest discovery and is very exciting as it is in the Hazelton volcanics immediately below the sediments. To see the gold mineralization continue beyond the sediments into the volcanics is extremely positive as we look forward to continuing to expand on this discovery in 2024. Making the new discovery in the volcanics gives us a clear path to chase the high-grade gold potential at depth to continue exploring for the heat engine (porphyry?) that caused the gold mineralization at Surebet, Bonanza and the Golden Gate zones. We strongly believe that our Golddigger project is emerging as one of the most important gold discoveries in the Golden Triangle. To think that until recently this project was covered by glaciers and due to them receding our team was the first to ever see the mineralization, then follow it up with exceptional drilling results is very rewarding as high-grade grassroots gold discoveries are a rare event in gold exploration." Mr. Rosmus further stated: "Management is currently considering all options to unlock the full value of the extensive new land package of the Golddigger property comprising 25 km of the Red Line containing multiple new discoveries, as well as the 100-per-cent-controlled Bullseye gold-copper porphyry target on the Luckystrike property, by potentially spinning off these assets into a new 100-per-cent-owned company by Goliath to add additional value to our stakeholders. We believe 2024 will be the best year to date for Goliath."

Golddigger property

The Golddigger property is 100 per cent controlled covering an area of an area of 61,685 hectares (152,427 acres) and is in the world-class geological setting of the Eskay Rift within the Golden Triangle of British Columbia and within three kilometres of the Red Line that is host to multiple world-class deposits. The Surebet discovery has exceptional metallurgy with gold recoveries of 92.2 per cent inclusive of 48.8 per cent free gold from gravity alone at a 327-micrometre crush (no deleterious elements and no cyanide required to recover the gold based on metallurgical work completed to date).

It is in an excellent location close in proximity to the communities of Alice Arm and Kitsault where there is permitted mill site on private property. It is situated on tide water with direct barge access to Prince Rupert (190 kilometres via the Observatory inlet/Portland inlet). The town of Kitsault is accessible by road (190 kilometres from Terrace, 300 kilometres from Prince Rupert) and has a barge landing, dock and infrastructure capable of housing at least 300 people, including high-tension power. Additional infrastructure in the area includes the Dolly Varden silver mine road (only seven kilometres to the east of the Surebet discovery) with direct road access to Alice Arm barge landing (18 kilometres to the south of the Surebet discovery) and high-tension power (25 kilometres to the east of Surebet discovery).

The city of Terrace (population 16,000) provides access to railway, major highways and airport with supplies (food, fuel, lumber etc.), while the town of Prince Rupert (population 12,000) is located on the west coast and houses an international container seaport also with direct access to railway and an airport with supplies.

Qualified person

Rein Turna, PGeo, is the qualified person as defined by National Instrument 43-101 for Goliath Resource projects, and supervised the preparation of, and has reviewed and approved, the technical information in this release.

Other

Oriented HQ-diameter or NQ-diameter diamond drill core from the drill campaign is placed in core boxes by the drill crew contracted by the company. Core boxes are transported by helicopter to the staging area, and then transported by truck to the core shack. The core is then reorientated, metreage blocks are checked, metre marks are labelled, recovery and RQD (rock quality designation) measurements taken, and primary bedding and secondary structural features, including veins, dikes, cleavage and shears, are noted and measured. The core is then described and transcribed in MX Deposit. Drill holes were planned using Leapfrog Geo and QGIS software and data from the 2017 to 2022 exploration campaigns. Drill core containing quartz breccia, stockwork, veining and/or sulphide(s), or notable alteration are sampled in lengths of 0.5 to 1.5 m. Core samples are cut lengthwise in half, one-half remains in the box and the other half is inserted in a clean plastic bag with a sample tag. Standards, blanks and duplicates were added in the sample stream at a rate of 10 per cent.

Grab, channels, chip and talus samples were collected by foot with helicopter assistance. Prospective areas included, but were not limited to, proximity to MINFile locations, placer creek occurrences, regional soil anomalies and potential gossans based on high-resolution satellite imagery. The rock grab and chip samples were extracted using a rock hammer, or hammer and chisel to expose fresh surfaces and to liberate a sample of anywhere between 0.5 kilogram and five kilograms. All sample sites were flagged with biodegradable flagging tape and marked with the sample number. All sample sites were recorded using hand-held GPS units (accuracy three to 10 metres) and sample ID, easting, northing, elevation, type of sample (outcrop, subcrop, float, talus, chip, grab etc.) and a description of the rock were recorded on all-weather paper. Samples were then inserted in a clean plastic bag with a sample tag for transport and shipping to the geochemistry lab. Quality assurance/quality control samples, including blanks, standards and duplicate samples, were inserted regularly into the sample sequence at a rate of 10 per cent.

All samples are transported in rice bags sealed with numbered security tags. A transport company takes them from the core shack to the ALS labs facilities in North Vancouver. ALS is either certified to ISO 9001:2008 or accredited to ISO 17025:2005 in all of its locations. At ALS samples were processed, dried, crushed and pulverized before analysis using the ME-MS61 and Au-SCR21 methods. For the ME-MS61 method, a prepared sample is digested with perchloric, nitric, hydrofluoric and hydrochloric acids. The residue is topped up with dilute hydrochloric acid and analyzed by inductively coupled plasma atomic emission spectrometry. Overlimits were reanalyzed using the ME-OG62 and Ag-GRA21 methods (gravimetric finish). For Au-SCR21 a large volume of sample is needed (typically one to three kg). The sample is crushed and screened (usually to minus 106 micron) to separate coarse gold particles from fine material. After screening, two aliquots of the fine fraction are analyzed using the traditional fire assay method. The fine fraction is expected to be reasonably homogenous and well represented by the duplicate analyses. The entire coarse fraction is assayed to determine the contribution of the coarse gold.

The reader is cautioned that grab samples are spot samples which are typically, but not exclusively, constrained to mineralization. Grab samples are selective in nature and collected to determine the presence or absence of mineralization and are not intended to be representative of the material sampled.

About Goliath Resources Ltd.

Goliath Resources is an explorer of precious metals projects in the prolific Golden Triangle of northwestern British Columbia and Abitibi greenstone belt of Quebec. All of its projects are in world-class geological settings and geopolitical safe jurisdictions amenable to mining in Canada.

We seek Safe Harbor.

© 2026 Canjex Publishing Ltd. All rights reserved.