13:39:00 EST Sat 07 Feb 2026
Enter Symbol
or Name
USA
CA



F3 Uranium Corp
Symbol FUU
Shares Issued 366,167,331
Close 2023-07-17 C$ 0.36
Market Cap C$ 131,820,239
Recent Sedar+ Documents

F3 Uranium finds 11.5-metre interval at Patterson

2023-07-17 11:28 ET - News Release

Mr. Raymond Ashley reports

F3 HITS MINERALIZATION WITHIN 8M OF THE ATHABASCA UNCONFORMITY

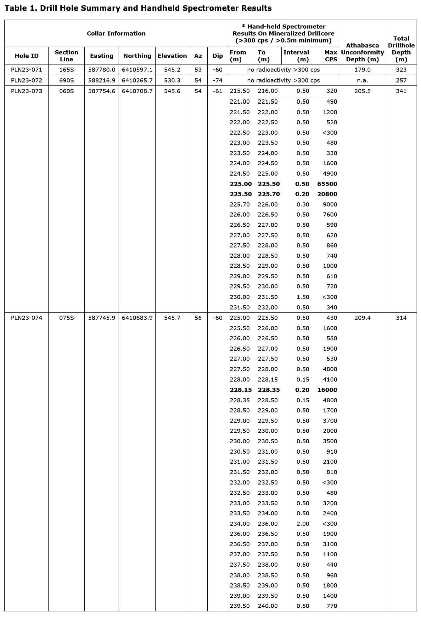
F3 Uranium Corp. has released scintillometer results from four holes of the continuing 30-hole summer drill program at the JR zone on the Patterson Lake North (PLN) property, including two high-grade intercepts in mineralized intervals that are both within 11 metres (m) of the Athabasca unconformity. Drill hole PLN23-073 tested for mineralization 15 metres updip of the high-grade intercept reported in PLN23-068 on line 060S and intersected mineralization over an 11.5-metre interval starting eight m below the unconformity, including 0.70 m of high grade (over 10,000 counts per second (cps)), of which 0.50 m was off-scale radioactivity (over 65,535 cps) between 225.00 m and 225.50 m. Drill hole PLN23-074 on line 075S intersected 15.0 m of mineralization starting 11 m below the unconformity, including 0.20 m of high grade (over 10,000 cps) between 228.15 and 228.35 m.

Raymond Ashley, president, commented:

"We are excited that basement mineralization has been intersected even closer to the Athabasca unconformity, now within eight m, as this reinforces the potential for an unconformity or sandstone component to the JR zone mineralization. The discovery of mineralization at the unconformity or in the sandstone would provide a compelling new target for JR zone expansion drilling. Tests updip from the JR zone mineralization are ongoing to define the best possible target at the unconformity for this drill program. The Shea Creek deposit 46 kilometres to the north of PLN and the Key Lake deposit on the east side of the basin are examples where basement hosted uranium mineralization extends through the unconformity and into the sandstone. The first step-out hole on line 165S did not intersect mineralization but additional drill holes are being planned on that section to continue to expand the footprint along strike of the JR zone basement mineralization. In addition, exploration drilling along the A1 main shear zone has commenced and prospective targets will be tested."

Drilling highlights

PLN23-073 (line 060S):

  • 11.5 m mineralization from 215.5 m to 232.0 m, including:
    • 0.70 m mineralization of over 10,000 cps radioactivity between 225.00 m to 225.70 m, including 0.50 m off-scale radioactivity (over 65,535 cps) between 225.00 m and 225.50 m.

PLN23-074 (line 075S):

  • 15.0 m mineralization from 225.0 m to 240.0 m, including:
    • 0.20 m of mineralization over 10,000 cps between 228.15 m and 228.35 m.

Drilling intercepts

PLN23-071 (line 165S):

  • No mineralization over 300 cps.

PLN23-072 (line 690S) -- exploration hole:

  • No mineralization over 300 cps.

Natural gamma radiation in the drill core that is reported in this news release was measured in counts per second using a hand-held Radiation Solutions RS-125 scintillometer. The company considers greater than 300 cps on the hand-held spectrometer as anomalous, over 10,000 cps as high grade and greater than 65,535 cps as off-scale. The reader is cautioned that scintillometer readings are not directly or uniformly related to uranium grades of the rock sample measured and should be used only as a preliminary indication of the presence of radioactive materials. Samples from the drill core are split in half on site and are standardized at 0.5-metre lengths. One-half of the split sample will be submitted to SRC Geoanalytical Laboratories (an SCC ISO/IEC 17025: 2005 accredited facility) in Saskatoon, Sask., for lithogeochemical analysis using its uranium package.

All depth measurements reported are downhole and true thickness are yet to be determined but the company estimates true thickness of the reported intervals in this news release to be close to reported interval widths.

Qualified person

The technical information in this news release has been prepare in accordance with the Canadian regulatory requirements set out in National Instrument 43-101 and approved on behalf of the company by Mr. Ashley, PGeo, president and chief operating officer of F3 Uranium, a qualified person. Mr. Ashley has verified the data disclosed.

About F3 Uranium Corp.

F3 Uranium is a uranium project generator and exploration company focusing on projects in the Athabasca basin, home to some of the world's largest high-grade uranium discovery. F3 Uranium currently has 18 projects in the Athabasca basin. Several of F3's projects are near large uranium discoveries, including Triple R, Arrow and Hurricane.

We seek Safe Harbor.

© 2026 Canjex Publishing Ltd. All rights reserved.