18:08:23 EST Sat 07 Feb 2026
Enter Symbol
or Name
USA
CA



Delta Resources Ltd
Symbol DLTA
Shares Issued 101,638,488
Close 2023-12-11 C$ 0.115
Market Cap C$ 11,688,426
Recent Sedar+ Documents

Delta Resources summarizes 2023 exploration at Delta-1

2023-12-12 12:02 ET - News Release

Mr. Andre Tessier reports

DELTA PROVIDES 2023 YEAR IN REVIEW AT ITS DELTA-1 THUNDER BAY, ONTARIO GOLD PROJECT

Delta Resources Ltd. has provided a summary of its exploration results from the Delta-1 gold project located 50 kilometres west of Thunder Bay, Ont.

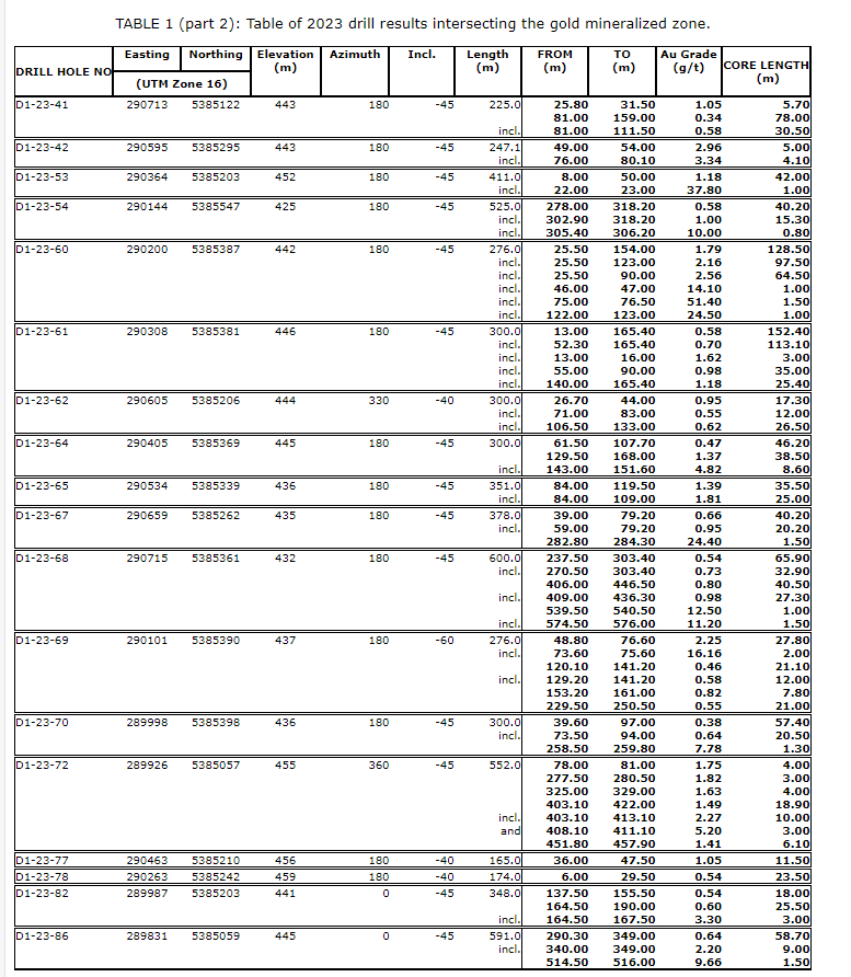
In 2023, Delta completed 60 drill holes for a total of 19,620 metres at the Delta-1 project. This brings the total drilling at the property to 86 drill holes or 26,288 metres, since Delta's 2019 acquisition of the project. Other exploration work at the property in 2023 include a geological mapping, prospecting and sampling program that covered approximately 10 square kilometres as well as a 3-D induced polarization geophysical survey and a high-resolution drone magnetic survey.

The objective of this exploration program was to follow up on Delta's discovery drill holes released in October, 2022, and January, 2023, including D1-22-18: 5.92 grams per tonne Au over 31 metres, including 14.8 g/t Au over 11.9 metres; D1-22-24: 6.49 g/t Au over 10 metres; and D1-22-25: 130 g/t Au over one metre, 1.2 g/t Au over 20 metres and 1.66 g/t Au over 18.1 metres.

Highlights of Delta's 2023 drilling program:

delta gold zone: A gold mineralized zone was outlined over 1.8 kilometres long, extending from surface to a vertical depth of over 250 metres, with a true width of up to 100 metres. The zone, which remains open on strike and at depth, is located immediately south of the Trans-Canada Highway, on a topographic high in an area that has largely been logged and where active logging is currently taking place. The area is largely uninhabited and there are no nearby lakes or rivers therefore greatly reducing any potential environmental issues.

Structural corridor hosting the gold: The gold mineralization is hosted by a structural corridor with intense alteration and high background in gold, that was traced over a strike length of approximately 4.5 kilometres. This corridor remains largely unexplored.

East extension: East of the main gold mineralized zone, Delta has traced low-grade gold mineralization over a strike length greater than 600 metres, at shallow depths, with widely spaced drilling including D1-23-45: 0.63 g/t Au over 12.5 metres; D1-23-47: 0.30 g/t Au over 36.5 metres; D1-23-48: 0.30 g/t Au over 48.7 metres; D1-23-74: 0.49 g/t Au over 15.5 metres. These intercepts are believed to be part of gold-enriched halo of a higher-grade core that will be explored in future drilling.

West extension: West of the gold mineralized zone Delta has traced the gold mineralization with a 250-metre stepout drill hole that intersected 0.63 g/t Au over 10.5 metres (D1-23-83). These intercepts are believed to be part of gold-enriched halo of a higher-grade core that will be explored in future drilling.

Structural controls of the gold mineralization: Drilling has provided extremely valuable information about the structural controls and geometry of the gold mineralized zone. Gold occurs in a stockwork of quartz-ankerite veinlets with 1 to 2 per cent disseminated pyrite, trace arsenopyrite and occasional visible gold. The zone strikes 290 degrees azimuth and dips steeply toward the north. At least one higher-grade shoot, approximately 300 metres of strike length, appears to plunge at 40 degrees toward the west.

Fully financed for 2024: Following Delta's $10-million bought deal financing in May of 2023, Delta's exploration program is fully financed for 2024.

Andre Tessier, president and chief executive officer, commented: "What an exciting year 2023 has been for Delta Resources. The Delta-1 gold discovery is now shaping up to be very significant. Counting the western and eastern extensions to the Main zone, the gold mineralization was intersected over 2.8 kilometres with a higher-grade core that is nearly one kilometre long. The structure that hosts the mineralization was traced over nearly five kilometres and is largely untested. This is a true testament to the size and potential of the mineralized system."

Mr. Tessier continued: "This has all occurred within one year. The year to come will surely bring its share of excitement as we continue our exploration with the extra knowledge we now have on the gold system."

Results from all 2023 drill holes that intersected the zone so far are provided herein.

Geological discussion

The Delta-1 project is located in the Shebandowan greenstone belt and covers a 19 km strike extent of the Shebandowan structural zone (only three km have been explored by Delta so far). Gold mineralization occurs within a broad corridor of highly altered (ankerite-calcite-silicification and albitization) rocks exhibiting highly anomalous gold values of up to 0.2 g/t gold. Higher-grade mineralization within this corridor is associated with a stockwork of quartz-ankerite-pyrite-gold veinlets, with increased density of these veinlets generally proportional to increased gold grade. The gold mineralized zones have so far been intersected for a strike of approximately 2.3 kilometres, with a higher-grade segment extending for nearly 950 metres. So far, the mineralized zone extends from surface to a vertical depth of approximately 250 metres. Mineralization strikes approximately 100 to 120 degrees azimuth, with a dip of 75 to 80 degrees north (shallower dips of 50N are observed in the western portion of the zone). Higher-grade, wide ore shoots are observed and appear to be plunging approximately 40 degrees toward the west, within this structural corridor. Similar ore shoots are often observed in structurally controlled gold deposits and often occur with a certain periodicity. The currently defined ore shoots are open at depth.

The next steps

Delta's team of geologists is currently compiling the wealth of geological, structural and geochemical data accumulated since the beginning of this phase of drilling. The team is also interpreting the results from a 26.05-line-kilometre 3-D induced polarization survey covering 282 hectares, that covered the known mineralized zone and its extensions as well as the new structural data acquired through a televiewer probing survey of 14 strategically located drill holes. This multidisciplinary approach will be used to help vector toward new mineralized zones within the gold-bearing structure, helping to plan Delta's next phase of drilling due to start mid-January, 2024.

Analytical protocol and quality assurance/quality control

Chemical analyses reported in this press release were performed at Agat Laboratories. Agat Laboratories is accredited to ISO 17025 by the Standards Council of Canada (SCC). Sample preparation was performed in Thunder Bay, Ont. Sampling and analytical procedures are subject to a comprehensive quality assurance and quality control program that includes duplicate samples, blanks and analytical standards.

The following assaying protocol was adopted at Delta-1 to reduce the assay variability due to nugget effect caused by visible gold:

  • If visible gold is observed in the sample or within the assumed mineralized zone, the assay is performed by metallic screening whereby the entire sample is crushed, a one kg portion is pulverized and screened to 106 micrometres and analyzed by 50-gram fire assay with gravimetric finish at the Agat laboratory in Thunder Bay, Ont.
  • If no visible gold is observed or outside of the mineralized zones, an initial assay is performed by 50-gram fire assay with inductively coupled plasma optical emission spectroscopy finish at the Agat laboratory in Thunder Bay, Ont. If the assay result exceeds two g/t gold, remaining rejects are pulverized, a one kg portion is screened to 106 micrometres and analyzed by 50-gram fire assay with gravimetric finish at the Agat laboratory in Thunder Bay, Ont.

NQ-size drill core was sawed in half lengthwise and half of the core was sampled and sealed in clean plastic bags before being shipped for assay. The remaining half of the core was replaced in core boxes and is stored at Delta's core storage facilities. Standards and blanks are inserted in the sequence of samples on site as quality assurance and quality control in addition to the regular insertion of blank, duplicate and standard samples accredited by SGS Canada minerals Laboratories during the analytical process.

Qualified person

Daniel Boudreau, PGeo and manager of exploration at Delta Resources, is the qualified person as defined by National Instrument 43-101. He has supervised the drilling program in the field and reviewed the technical information presented in this press release.

Ontario Junior Exploration Program

Delta Resources would like to acknowledge the financial support provided by the Ontario government via the Ontario Junior Exploration Program (OJEP) Delta will be receiving up to $200,000 upon completion of its exploration program at Delta-1.

About Delta Resources Ltd.

Delta Resources is a Canadian mineral exploration company focused on growing shareholder value through the exploration of two very high-potential gold and base metal projects in Canada.

We seek Safe Harbor.

© 2026 Canjex Publishing Ltd. All rights reserved.