22:26:40 EST Sat 07 Feb 2026
Enter Symbol
or Name
USA
CA



Blackwolf Copper and Gold Ltd
Symbol BWCG
Shares Issued 123,000,000
Close 2024-01-19 C$ 0.135
Market Cap C$ 16,605,000
Recent Sedar+ Documents

Blackwolf samples 4.16 g/t Au, 9.71 g/t Ag at Harry

2024-01-19 11:46 ET - News Release

Mr. Morgan Lekstrom reports

BLACKWOLF REPORTS FINAL RESULTS FOR DRILLING AND SURFACE SAMPLING ON THE HARRY PROPERTY AND THE INAUGURAL DRILLING ON THE CANTOO PROPERTY

Blackwolf Copper and Gold Ltd. has released the final assay results from the seven-hole surface drill program and surface sampling at the Harry property and the three-hole, first-ever drill program at the Cantoo property completed in 2023. The two properties are strategically located in the prolific Golden Triangle. The Cantoo Property is positioned 15 kilometres north of Hyder, Alaska, neighboring the town of Stewart, British Columbia. It is also 3 kilometres west of the past-producing Premier Gold Mine, currently in development, and 10 kilometres south of the Scottie Gold Mine. The Harry Property, located 30 kilometres north of Stewart, BC, is accessible along the all-season Granduc Road. Situated within a 50 kilometre-long axis featuring high-grade gold occurrences and deposits, including the Valley of the Kings, Brucejack mine.

Key Technical Insights:

Harry Property:

  • Multiple Mineralization-Styles: Drilling and surface sampling have identified multiple mineralization styles, in all regions of the Property, particularly at the Swann Zone. Two major mineralization styles have been identified, including:
    • The high-grade gold-silver veins contained in an extensive quartz-sericite-pyrite alteration package, as noted in surface sample 4.16 g/t Au and 9.71 g/t Ag, and subsequent in drilling 1.30 g/t Au and 2.90 g/t Ag over 2.0 meters and previously released results of 312 g/t Au and 101 g/t Ag, over 1.0 meter (refer to Blackwolf's News release of October 30th, 2023).
    • Multi-ounce silver base-metal veins with gold credits, as noted in surface sample 1,049 g/t Ag, 4.447 g/t Au, 1.521 per cent Cu, 8.0 per cent Pb, 1.55 per cent Zn, and subsequent in drilling 374 g/t Ag, 5.34 per cent Pb, 1.41 per cent Zn over 0.47 meters.
  • Multi-Zone Mineralization: The exploration effort has identified silver and base-metal occurrences, over a 3- kilometre trend, and two areas of intense quartz-sericite-pyrite alteration, each up to 1 kilometre in extent and associated with the previously released new high-grade visible gold vein discovery at the Swann Zone.

Cantoo Property:

  • The surface exploration highlighted the high-grade mineralization with multiple scree samples from the mineralization above, as noted in samples 29.2 g/t Au, 2,378 g/t Ag, 4.345 per cent Cu, 7.24 per cent Zn, and 19.9 g/t Au and 7.92 g/t Ag.
  • The initial drill program intersected porphyry-style alteration; strong zones of quartz-sericite alteration with sulphide mineralization. The strong mineralized alteration halos are analogue to the confirmed wide surface Cantoo vein mineralization outcropping in cliffs. The mineralization is closely associated with Jurassic-aged Texas Creek Intrusion suite as noted in mineralized interval in hole CT23-003 1.53 g/t Au and 1.01 g/t Au both over 1.5 metre. Further drilling to the southwest is needed to vector into high-grade shoots.

Rob McLeod, Blackwolf's Executive Chairman states, "Encountering Brucejack-style remobilized coarse electrum veins at Harry was the highlight of the 2023 program. Extensive multiphase sulphide-rich veining within a wide halo of strongly anomalous gold and silver is highly encouraging. Drilling in 2024 will target additional high-grade surface values and structural/geochemical traps located up dip from the high-grade veins. At Cantoo, geochemical vectoring and surface sampling are suggesting a northeast strike and steep dip to the wide veins; subsequent drilling will test this concept."

Blackwolf's CEO, Morgan Lekstrom comments, "Having successfully executed a program that stayed within budget, we have significantly expanded on previous results at the Harry Property, made a gold discovery, and gained a comprehensive understanding of the Cantoo Geology. This has led to a tremendous year for our initial drilling endeavors on both properties, and we are eager to build upon the discoveries at Harry and our newfound insights into the Cantoo Property. Mineralized occurrences at Harry have extended from the Swann Zone to several other mineralized occurrences across a 3-kilometre trend, adjacent to one of North America's historically high-grade producers. Our company is fully funded to proceed with an extensive drill program on the Harry Property in 2024, and we have identified multiple areas where we anticipate further high-grade discoveries. With our enhanced understanding of Cantoo, we can now drill more efficiently and cost-effectively in pursuit of what we believe to be a significant new discovery. It's important to remember that mines in the area are often discovered with over 100 drill holes, and with just 3 drill holes, we have obtained the information that uniquely positions us to expand our drilling at Cantoo and awaken this sleeping giant."

Harry Property

Harry Surface Sampling

In the Company's first season of exploration on the Harry Property, a total of 99 surface grab samples were collected, marking a significant step in our understanding of the property. The primary aim was to assess the ten previously defined mineralized zones and establish any relationships between them. The outcomes, as determined by the Company's geological team, provide valuable insights into the mineralization characteristics of the property.

The property exhibits two distinct mineralization styles. The first is characterized by east-trending, steeply dipping high-grade gold-silver precious metal veins within an extensive lower-grade gold, quartz-sericite-pyrite alteration package, comparable to larger Jurassic systems. Additionally, there are younger north-northwest trending, moderately dipping multi-ounce silver-base metal veins with gold credits, analogous to Eocene systems.

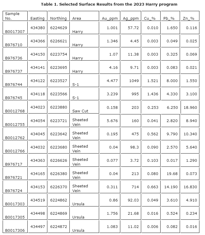
Key findings from surface sampling and mapping include the identification of two areas with intense quartz-sericite-pyrite (QSP) alteration, each extending up to one kilometre. These broad alteration areas host lower grade precious metals with notable samples such as B976737 4.16 g/t Au and 9.71 g/t Ag and B0017305 1.756 g/t Au and 21.68 g/t Ag. These areas are also associated with high-grade visible gold vein mineralization in the drill core, as noted in the previously released results (H23-017: 312 g/t Au and 101 g/t Ag, over 1.0 meter from 139 meter to 140 meter, and 277 g/t Au and 118 g/t Ag, over 1.0 meter from 199 to 200 meter - refer to October 30th 2023 news release).

Additionally, the 2023 surface work delineated a 3 kilometre trend with four mineralized zones, revealing multi-ounce silver-base metal veins with gold credits in samples like B976744 1,049 g/t Ag, 4.447 g/t Au, 1.521 per cent Cu, 8.0 per cent Pb, 1.55 per cent Zn, B976724 714 g/t Ag, 14.19 per cent Pb, 16.83 per cent Zn, and B0012762 475 g/t Ag, 9.79 per cent Pb, 10.34 per cent Zn.

The multiple mineralization styles uncovered during this exploration season suggest a long-lived multiphase metallogenic system. These findings contribute to our ongoing understanding of the property's geological characteristics.

Harry Surface Drilling

The 2023 drilling program at the Harry property targeted mineralization previously identified in historical drilling at the Swann zone (Optimum Ventures Press Release, April 22, 2022). The primary focus was on targeting silver-base metal veins with gold credits and exploring the extent of precious metal mineralization within the broad quartz-sericite-pyrite alteration halo west of the Swann zone, extending towards the Milestone prospect.

A total of 1,741 meters of drilling across seven holes was completed in September 2023. The outcomes of the program exceeded expectations, as evidenced by the successful intersection of high-grade silver-base metal mineralization at the Swann zone. Results defined a 150-meter mineralized trend of sheeted mineralized veins, ranging from 0.3 to 3.0 meters in width at the Swann zone, as exemplified by H23-012: 0.47 g/t Au, 374 g/t Ag, 5.34 per cent Pb, 1.41 per cent Zn over 0.47 meters.

Moreover, the program showcased the Company's capability to unveil the potential for extensive high-grade gold mineralization within the expansive quartz-sericite-pyrite (QSP) halo. With only three diamond drill holes testing it to date, previously released results from H23-017 (312 g/t Au and 101 g/t Ag, over 1.0 meter from 139 meter to 140 meter, and 277 g/t Au and118 g/t Ag, over 1.0 meter from 199 to 200 meter) and hole H23-018 intersected 1.30 g/t Au and 2.90 g/t Ag over 2.0 meters within a longer low-grade intervals of gold mineralization encountered in the quartz-sericite-pyrite halo 0.42 g/t Au, 5.97 g/t Ag over 17.0 meters.

Cantoo Property

The property has a rich mining history with three adits driven in the early 1920's to follow high-grade gold-silver mineralization with base metal credit breccias, stockworks, and vein structures, reaching up to 30 meters in thickness on surface. The 2023 surface exploration highlighted the high-grade mineralization with multiple scree samples from the mineralization above due to terrain steepness, as noted in sample B0011179 29.2 g/t Au, 2,378 g/t Ag, 4.35 per cent Cu, 7.24 per cent Zn, and B0011169 19.9 g/t Au and 7.92 g/t Ag. The 2023 drilling at the Cantoo was the first ever drill program completed to date on the property with 1,356 meters completed in three holes. The modest exploratory drilling completed highlighted area of intense quartz-sericite-pyrite (QSP) in close to distal telescoping relation with the Premier porphyry, Jurassic-age Texas Creek Intrusive Suite known in the area for association with neighboring, currently in development, Premier deposit. While significant precious metals values were not obtained, the alteration zone intersected closely resemblance with the high-grade surface samples closely related to the Premier porphyry intrusion. Mineralized intersection with the second hole highlighted two gold intervals within the Jurassic-aged Premier Porphyry associated with the prospective alteration as noted in hole CT23-003 with 1.53 g/t Au and 1.01 g/t Au, both over 1.5 meter. This initial drilling effort has significantly advanced our understanding of the complex structural geology in the area, refining our targeting strategy for the upcoming drill season

Next Steps

There are numerous untested targets on the Harry Property; future work will include exploring the west side of the QSP alteration at the Golden Summit prospect. Additionally, the second alteration halo at the Harry and Ursula prospects further south, mirroring the high-grade precious metal veins intercepted this season, represents an exciting opportunity for future exploration. Furthermore, three additional zones hosting silver-base metal veins are yet to be explored, particularly the Sheeted Vein and Saw Cut prospects further south. This underscores the significant potential that occurs on the Harry Property, and Blackwolf is eager to unlock further discoveries as the Company continues to methodically explore and test these promising targets.

QA/QC and Qualified Person

Analytical work for the Harry Property drill core samples was completed by two analytical laboratories: MSA Labs of Langley, BC, and Bureau Veritas of Vancouver, BC, both of whom are certified analytical service providers. Analytical work for the Cantoo property was completed by MSA Labs.

At MSA Labs, samples are prepared using procedure PRP-910 (dry,crush to 70 per cent passing 2mm, riffle split off 250g, pulverize split to better than 85 per cent passing 75 microns) and analyzed by method FAS-111 (30g fire assay with AAS finish) for gold and IMS-230 (1.0g, 4-acid digestion and ICP-MS analysis, 48 elements). Any samples containing >10g/t Au are reanalyzed using method FAS-415(30g Fire Assay with gravimetric finish). Samples containing >100 ppm Ag and/or >1 per cent Cu, Pb, & Zn are reanalyzed using method ICF-6 (0.2g, 4-acid digest and ore grade ICP-AES analysis). Samples containing >1000g/t Ag are reanalyzed using method FAS-418 (30g fire assay with AAS finish) and samples containing >20 per cent Pb are reanalyzed using method STI-8Pb (volumetric titration).

At Bureau Veritas, samples are prepared using PRP70-250 (dry, crush to 70 per cent passing 2mm, riffle split off 250g, pulverize split to better than 85 per cent passing 75 microns) and analyzed by method FA-430 (30g fire assay with AAS finish) for gold and MA-200 (0.25, multi-acid digestion and ICP-ES/MS analysis, 45 elements). Any samples containing >10g/t Au are reanalyzed using method FA530 (30g Fire Assay with gravimetric finish). Samples containing >100 ppm Ag and/or >1 per cent Cu, Pb, & Zn are reanalyzed using method MA-370 (1.0g, 4-acid digestion and ore grade ICP-AES analysis). Samples containing >1000 g/t Ag are reanalyzed using method FA-530(30g fire assay with AAS finish) and samples containing >20 per cent Pb are reanalyzed using method GC817. Samples with visible gold are subject to method FS-632, a screen metallics analysis with duplicate minus fractions analyzed, and 30g fire assay for gold.

The 2023 Drilling Program at the Harry Property was completed using industry standard procedures, including a quality assurance/quality control ("QA/QC") program consisting of the insertion of certified standard, blanks,and duplicates into the sample stream. The Qualified Person has reviewed the data and detected no significant QA/QC issues.

Andrew Hamilton, P.Geo., Consultant to the Company,a Qualified Person under NI 43-101,has reviewed and approved the scientific and technical content of this release.

About Blackwolf Copper and Gold Ltd.

Blackwolf's founding vision is to be an industry leader in transparency, inclusion, and innovation. Guided by our Vision and through collaboration with local and Indigenous communities and stakeholders, Blackwolf builds shareholder value through our technical expertise in mineral exploration, engineering and permitting. The Company holds a 100 per cent interest in the high-grade Niblack copper-gold-zinc-silver VMS project, located adjacent to tidewater in southeast Alaska. In addition, the Company holds a 100 per cent interest in five Hyder Area gold-silver and base metal properties in southeast Alaska and an option to acquire an 80 per cent interest in the Harry gold-silver property located in northwest British Columbia in the Golden Triangle. For more information on Blackwolf, please visit the Company's website at www.blackwolfcopperandgold.com.

We seek Safe Harbor.

© 2026 Canjex Publishing Ltd. All rights reserved.