22:20:17 EST Sat 07 Feb 2026
Enter Symbol
or Name
USA
CA



Bear Creek Mining Corp
Symbol BCM
Shares Issued 171,365,386
Close 2023-08-29 C$ 0.445
Market Cap C$ 76,257,597
Recent Sedar+ Documents

Bear Creek drills 7.2 m of 62.59 g/t Au at Mercedes

2023-08-30 10:21 ET - News Release

Mr. Eric Caba reports

UNDERGROUND DRILLING AT BEAR CREEK'S MERCEDES MINE RETURNS HIGH GRADE GOLD INTERCEPTS

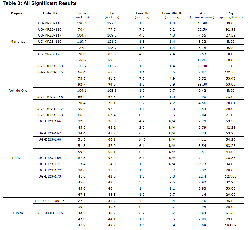
Bear Creek Mining Corp. has provided results from underground definition and delineation drilling at its Mercedes gold mine in Sonora, Mexico. The company has focused drilling on the Marianas, Rey de Oro, Diluvio and Lupita deposits, all of which are associated with near-term production; however, the results also hold significant implications for exploration upside.

Andrew Swarthout, director and qualified person, states: "Our 2023 drilling program at Mercedes has to date concentrated on improving operations and production in the current workings. We are very excited by the results of this underground drilling program, which have returned intercepts with gold grades substantially higher -- in some cases up to 30 times higher -- than the currently defined resources of the deposits in which they occur. We are also seeing geological evidence including hydrothermal textures and higher gold and silver grades as we proceed to the north along the main Mercedes structure, which supports our belief that the source of mineralization in the Mercedes district may occur in the unexplored northern extensions of this important structure. This exploration thesis applies to other targets at Mercedes, including the San Martin offset, Klondike, Rey del Oro and Margaritas East, and we look forward to reinitiating surface exploration drilling in 2023/2024."

Marianas

Significant intercepts from Marianas in 2023 are between 1.5 and 30 times higher in gold grade than the material currently being mined in this deposit. This is expected to translate into an increase in mining grades at Marianas as planned development progresses over the next month and beyond. Importantly, most of the drill results from Marianas announced in 2023 are located outside of the current reserve boundaries, confirming that ore grade mineralization is open to the north and at depth.

Mineralization is contained in quartz-carbonate veins, hydrothermal breccias and complex stockwork veins which are styles of mineralization distinct from those historically mined in the district and indicative of approaching proximity to the potential sources of ore-bearing fluids, which typically produce more robust orebodies. Channel sampling from underground exploration drifting, proximal to the delineation drilling, has intersected one stockwork vein zone containing three metres averaging 15 grams per tonne gold and 761 g/t silver. The silver values from this sample are approximately 15 times the average silver grade seen elsewhere in the district, providing additional geological and structural evidence suggesting the source of the hydrothermal vents responsible for mineralization in the Mercedes district may occur along strike and northwest of Marianas. Additional underground drill stations are being prepared at Marianas to continue to follow these promising results, and surface drilling will commence over the coming three months to explore and expand resources.

Rey de Oro

Similarly to Marianas, drill results from Rey de Oro indicate that the deposit remains open at depth and along strike. The deepest drill hole, RDO 23-083, located 40 metres below the deepest mine workings and resource model, intersected 1.4 metres (true width) averaging 21 g/t Au and 11 g/t Ag. These results fortify the exploration potential at depth and to the north where the Rey del Oro, Klondike and San Martin vein systems remain underexplored.

Diluvio-Lupita

Drilling at the Diluvio and Lupita deposits in 2023 was undertaken for mine planning purposes. Nonetheless, these recent holes have continued to intersect high-grade gold mineralization and the results further establish that orebodies in the Mercedes district are showing evidence of more robust grades to the north where structural preparation increases and the potential source(s) of mineralization are approached.

National Instrument 43-101 disclosure

Unless otherwise indicated, scientific and technical information in this news release is based on work programs and initiatives conducted under the supervision of, and/or has been reviewed and approved by, Mr. Swarthout, American Institute of Professional Geologists certified professional geologist, a director of the company who is a qualified person as defined in NI 43-101.

All Bear Creek sample and assay results are independently monitored through a quality control/quality assurance program that includes the insertion of a minimum of the following for each assay batch of approximately 84 samples: two certified standards, one certified fine blank, one coarse blank and pulp, and reject duplicate samples. Logging and sampling at the Mercedes mine are completed at a secure on-site facility. Drill core is sawn in half on site and half drill core samples are securely transported to ALS Chemex sample preparation facilities in Hermosillo, Mexico. Sample pulps are sent to ALS Chemex lab in Vancouver, B.C., a for analysis. Gold content is determined by fire assay of a 30-gram charge and silver content is determined by four-acid digestion. Sample preparation and assay labs are independent from Bear Creek. Bear Creek is not aware of any drilling, sampling, recovery or other factors that could materially affect the accuracy or reliability of the data referred to herein.

We seek Safe Harbor.

© 2026 Canjex Publishing Ltd. All rights reserved.