23:34:57 EST Fri 06 Feb 2026
Enter Symbol
or Name
USA
CA



Stagezero applies for temporary repricing of warrants

2023-06-20 13:52 ET - News Release

Mr. James Howard-Tripp reports

STAGEZERO LIFE SCIENCES, LTD. ANNOUNCES TEMPORARY REPRICING OF WARRANTS EXPIRING IN 2023 AND 2024

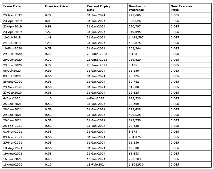
Stagezero Life Sciences Ltd. has applied to the Toronto Stock Exchange for a temporary repricing of the exercise price of 8,730,647 outstanding common share purchase warrants, expiring during 2023 and 2024.

The warrants were originally issued pursuant to non-brokered private placements and debenture conversions. None of the warrants to be extended are held, directly or indirectly, by any insiders of the company. The new exercise price of the warrants will be 6.5 cents and the temporary repricing will take effect on July 5, 2023, and close on July 10, 2023. The unlisted warrants expiring on June 29, 2023, will be temporarily extended to July 10, 2023. After that time, the warrants will revert to the original issued terms. No further extensions or amendments will be made to any outstanding warrants that expire in 2023 or 2024.

The attached table identifies the warrants and their exercise price.

The effective date for amendments to the warrants will be July 5, 2023, subject to the requisite approval of the Toronto Stock Exchange.

Warrantholders will also be contacted directly and provided with instructions as to how to exercise their warrants, should they wish to do so.

Publicly traded warrants

Stagezero has two sets of publicly traded warrants that will not be included in the repricing. They fall under Section 609 (f) of the TSX company manual, which states that once warrants have been listed, the TSX will not generally permit amendments to any of the essential terms of the warrants, such as the exercise price (except for anti-dilution purposes) or the expiry date.

"Responding to requests from shareholders who have supported us in these financings, we have applied to the TSX to offer a temporary repricing, essentially at market, of all the outstanding warrants that expire in 2023 and 2024. This for a defined period. We believe this represents a great opportunity to those shareholders who have supported us over the last few years to participate further in the growth of Stagezero and represents $567,492 in possible capital to Stagezero should all of the warrants be exercised. This capital would be directly deployed into growth focused activities such as the Metrics II study and support of our growing list of partnerships," said James Howard-Tripp, chairman and chief executive officer of Stagezero. "We thank these shareholders for their continuing support."

About Stagezero Life Sciences Ltd.

Stagezero is a vertically integrated health care company dedicated to improving the early detection and management of cancer and other chronic diseases through next-generation diagnostics and unique telehealth programs that provide clinical interventions to assist patients who currently have cancer (COC (care oncology clinic) protocol) as well as help patients reduce the risk of developing late-stage disease (AVRT).

The company's next-generation test, Aristotle, is the first-ever mRNA multicancer panel for simultaneously screening for multiple cancers from a single sample of blood with high sensitivity and specificity for each cancer. Aristotle uses mRNA technology to identify the molecular signatures of multiple cancer types and is built on the company's patented technology platform, the Sentinel Principle. The Sentinel Principle has been validated in more than 9,000 patients and used by more than 100,000 patients in North America.

The care oncology clinic offers a supervised treatment regimen for people diagnosed with cancer of any type or stage. Developed by scientists and oncologists, the COC protocol is intended for adjunctive administration alongside standard-of-care cancer therapy. It is an individualized therapeutic approach that seeks to simultaneously target multiple metabolic cancer pathways. The aim is to restrict cancer cell energy supply and use, which may make it more difficult overall for cancer cells to survive, grow and adapt to changing conditions in the body. As a result, such cells can potentially become more vulnerable to attack from cell-killing therapies such as radiotherapy and chemotherapy. The company's patented COC protocol incorporates a multifaceted approach, supported by peer-reviewed scientific studies, which highlight the potential of certain treatments to target the specific energy requirements of cancer cells, impacting their ability to grow and multiply.

AVRT is a physician-led, telehealth program for identifying and managing the early warning signs of cancer and chronic disease. The company's program includes: a comprehensive on-line health evaluation; blood tests to measure markers of inflammation and metabolism; an in-depth initial physician consultation; and regular physician follow-up appointments and interval screening.

Aristotle as well as additional cancer diagnostics (ColonSentry and the Prostate Health Index) are processed at the company's clinical laboratory, Stagezero Life Sciences Inc., a CAP-accredited and CLIA-certified high-complexity reference laboratory in Richmond, Va.

Stagezero trades on the Toronto Stock exchange under the symbol SZLS and on the OTCQB under the symbol SZLSF.

We seek Safe Harbor.

© 2026 Canjex Publishing Ltd. All rights reserved.