21:23:49 EST Sat 07 Feb 2026
Enter Symbol
or Name
USA
CA



Rua Gold Inc (2)
Symbol RUA
Shares Issued 84,403,667
Close 2026-01-19 C$ 1.20
Market Cap C$ 101,284,400
Recent Sedar+ Documents

Rua Gold talks expansion of Auld Creek

2026-01-19 17:36 ET - News Release

Mr. Robert Eckford reports

RUA GOLD PROVIDES EXPLORATION UPDATE AND 2026 OUTLOOK FOR THE AULD CREEK GOLD-ANTIMONY PROJECT, REEFTON GOLDFIELD

Rua Gold Inc. has provided an exploration update on its Auld Creek gold-antimony project in the Reefton Goldfield, New Zealand, and has outlined the key permitting catalysts for 2026.

Highlights:

  • The company is ramping up permitting related activities, targeting inclusion on the list of projects eligible for New Zealand's fast-track process in the first half of 2026.
  • Highlighted assay results from Auld Creek include:
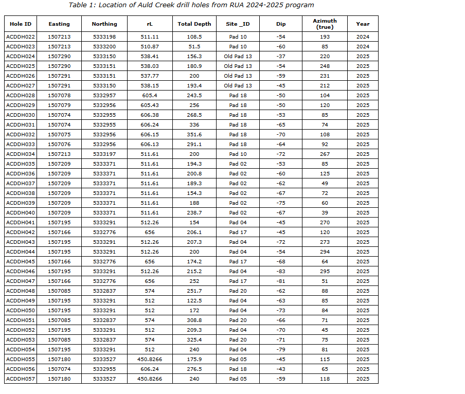
    • ACDDH050: 3.0 metres at 21.27 grams per tonne AuEq (gold equivalent) (4.5 g/t Au and 3.9 per cent Sb (antimony)) from 137 m;
      • Including 2.0 m at 27.4 g/t AuEq (5.2 g/t Au and 5.5 per cent Sb).
    • ACDDH055: 3.4 m at 4.18 g/t AuEq (2.6 g/t Au and 0.4 per cent Sb) from 152.7 m;
    • ACDDH056: 5.1 m at 7.27 g/t AuEq (5.3 g/t Au and 0.5 per cent Sb) from 240.4 m.
  • Three drill rigs are operating from January, accelerating progress and testing extensions 400 m north of the Fraternal lode and 250 m northwest of the Bonanza lode.
  • Further drilling has increased the strike length of the deposit a further 250 m to 870 m length, remains open along strike to the north and at depth via plunging ore shoots.
  • Scout drilling is being mobilized to test the full 2,500 m strike length of the surface gold-arsenic-antimony soil geochemical anomalies.
  • RSC Consulting has been engaged to prepare an updated NI 43-101 Reefton technical report, scheduled to be published in February, 2026, and incorporating drilling to date.
  • Tendering under way for works to support a preliminary economic assessment (PEA) on Jan. 19, 2026.

Encouraging new mineral intersections confirm expansion of the Auld Creek system beyond 870 m (Fraternal lode), with mineralization remaining open to the north and unconstrained at depths exceeding 320 m. A third drill rig is scheduled to commence drilling by the end of January, accelerating resource development and testing anomalies directly along strike of both the Fraternal and Bonanza lodes.

The company has significantly advanced permitting activities in the region and is targeting submission of a fast-track referral application in the first half of 2026. Consultant and stakeholder site visits commenced in December, 2025, with the majority of the independent advisors scheduled to visit the Auld Creek site and surrounding areas in January, 2026.

Robert Eckford, chief executive officer of Rua Gold, commented: "Auld Creek continues to be a cornerstone asset for the company. Ongoing drilling is expanding both the scale and confidence of the mineralized system as we advance toward mine permitting.

"We intend to use the fast-track legislation for the Auld Creek gold-antimony project, with the objective of bringing New Zealand's largest known antimony deposit into production. Our confidence in this permitting regime was reinforced by the approval of OceanaGold's Wharekirauponga gold-silver project in December, 2025."

Fast-track process advancing

Rua Gold is actively progressing permitting related activities on the West Coast of New Zealand, with the team targeting submission of a fast-track referral application in the first half of 2026.

Engagement with our local Maori stakeholders, Te Runanga o Ngati Waewae has been continuing with respect to exploration activities and future development plans. Ngati Waewae are strong supporters of the project and will work closely with the company throughout the fast-track process, including assisting with cultural impact assessments.

The mine concept design was completed in 2025 by engineering firm AMC Consultants, and the company is currently tendering works to support the upcoming PEA. Community and regulatory consultations have commenced and will intensify throughout 2026. Subject to a successful referral application, the company is targeting submission of the fast-track application by the end of 2026.

Auld Creek exploration update

The 2025 systematic drill program was designed to expand the scale of known mineralization and enhance confidence in the geological and resource model. Drilling has successfully demonstrated strike continuity of the Fraternal lode over 870 m, with mineralization remaining open to the north and unconstrained at depth.

A central portion of the structure remains untested; the expansion to three drill rigs and implementation of double-shift operations will allow this zone to be tested in the first quarter of 2026.

Drilling and geological interpretation indicate that higher-grade mineralized shoots persist in a subvertical orientation. Drilling in 2026 will focus on extending these shoots at depth and infilling the resource envelope over its 870 m strike length.

Assay results show:

  • ACDDH040: 0.8 m at 2.6 g/t Au and 0.5 per cent Sb;
  • ACDDH047: 3.0 m at 2.7 g/t Au;
  • ACDDH047: 7.0 m at 1.34 g/t Au;
  • ACDDH050: 3.0 m at 4.5 g/t Au and 3.9 per cent Sb;
  • ACDDH055: 3.4 m at 2.6 g/t Au and 0.4 per cent Sb;
  • ACDDH056: 5.1 m at 5.3 g/t Au and 0.5 per cent Sb.

ACDDH041, ACDD042, ACDDH043, ACDDH044, ACDDH045, ACDDH046, ACDDH048, ACDDH049, ACDDH051 and ACDDH057 intercepted the structure, with only weak mineralization.

Collectively, these results materially advance the company's understanding of the Auld Creek system, demonstrating its scale and structural continuity, and provide clear vectors to guide subsequent drilling focused on expanding higher-grade mineralization along plunge to the north and at depth, where drilling to date has not yet exceeded 320 m vertically. comparable orogenic gold-antimony deposits commonly demonstrate continuity of mineralization well beyond 1,000 m vertically.

Mapping and surface geochemistry

Fraternal lode

Surface gold-arsenic-antimony soil anomalism demonstrates that the Fraternal lode extends at least 400 m to the north, with soil tenor comparable with the main Auld Creek resource zone. Regional soil gold-arsenic-antimony geochemistry demonstrates a mineralized structure exceeding 2,000 m in length.

The third rig introduced in January, 2026, will conduct scout drilling along this strike length of the Fraternal lode during the first half of 2026.

Bonanza lode

Surface geological mapping guided by strongly anomalous gold-arsenic antimony soil sampling has identified strong mineralized quartz veining 250 m northwest of the Bonanza lode, extending its stroke length from 350 m to 600 m. This area will be a priority drilling target in Q1 2026.

Regional opportunities

Auld Creek represents one of at least six known occurrences of gold-antimony with high-grade gold-antimony in in situ rock chips and historical underground workings stretched over a known 30-kilometre length in the Reefton Goldfield covered by Rua Gold's permits. A fourth drill rig continues to evaluation high-priority gold targets beyond Auld Creek.

About Rua Gold Inc.

Rua Gold is an exploration company, strategically focused on New Zealand. With decades of expertise, the company's team has successfully taken major discoveries into producing world-class mines across multiple continents. The team is now focused on maximizing the asset potential of Rua Gold's two highly prospective high-grade gold projects.

The company controls the Reefton gold district as the dominant landholder in the Reefton Goldfield on New Zealand's South Island with over 120,000 hectares of tenements, in a district that historically produced over two million ounces of gold grading between nine and 50 grams per tonne.

The company's Glamorgan project solidifies Rua Gold's position as a leading high-grade gold explorer on New Zealand's North Island. This highly prospective project is located within the North Islands' Hauraki district, a region that has produced an impressive 15 Moz of gold and 60 Moz of silver. Glamorgan is adjacent to OceanaGold Corp.'s biggest gold mining development project, Wharekirauponga, which is now fully permitted and under construction.

Technical information

Simon Henderson CP, AUSIMM, a qualified person under National Instrument 43-101 -- Standards of Disclosure for Mineral Projects, and chief operating officer and a director of Rua Gold, has reviewed and approved the technical disclosure contained herein. Mr. Henderson has participated in the geochemical sampling and mapping programs to verify that they have been conducted in accordance with standard operating procedures. Mr. Henderson has verified the data disclosed by running checks on the location, analytical and test data underlying the information or opinions in the technical disclosure herein.

QA/QC (quality assurance/quality control) drill core

Core samples were sent to SGS Laboratories, Westport for sample preparation. SGS is independent of the company. Samples were crushed and pulverized to 85 per cent passing 75 micrometres. The pulverized rock chips were split into two samples: an approximately 50 g sent for laboratory analysis, and the reject returned to RGL for pXRF analysis and storage. Pulverized rock-chip samples were analyzed for gold (Au) by 50-gram fire assay with AAS finish at SGS Waihi (SGS code FAA505); and for antimony (Sb) by sodium peroxide fusion analysis by ICP-MS at SGS Waihi.

QA/QC soil and rock samples

Samples were crushed to 75 per cent passing two mm (SGS code CRU75) and pulverized to 85 per cent passing 75 micrometres (SGS code PUL85_CR). The pulverized rock chips were split into two samples: an approximately 50 g sent for laboratory analysis, and the reject returned to Rua Gold for pXRF analysis and storage. Rock chip samples are selective by their nature, and not necessarily indicative of mineralization throughout the project.

We seek Safe Harbor.

© 2026 Canjex Publishing Ltd. All rights reserved.