07:23:10 EST Sat 07 Feb 2026
Enter Symbol
or Name
USA
CA



Mayfair Gold Corp
Symbol MFG
Shares Issued 100,296,007
Close 2023-12-01 C$ 2.21
Market Cap C$ 221,654,175
Recent Sedar+ Documents

Mayfair Gold completes Fenn-Gib geotechnical studies

2023-12-04 10:20 ET - News Release

Mr. Patrick Evans reports

MAYFAIR GOLD ANNOUNCES SUCCESSFUL COMPLETION OF FENN-GIB GEOTECHNICAL STUDY

Mayfair Gold Corp. has successfully completed the geotechnical and hydrogeology studies in support of prefeasibility-level open-pit design for the Fenn-Gib project. Mayfair's 100-per-cent-controlled Fenn-Gib project, located in the Timmins region of Northeastern Ontario, hosts a National Instrument 43-101 open-pit-constrained indicated mineral resource estimate of 3.38 million (M) ounces (oz) gold (Au) at a grade of 0.93 gram per tonne (g/t) Au, and an inferred mineral resource of 160,000 oz Au at 0.85 g/t Au. The near-surface Fenn-Gib gold mineralization is broadly disseminated striking east-west on the Pipestone fault over more than 1.5 kilometres (km) and is over 500 metres (m) wide at the west end.

Mayfair Gold president and chief executive officer Patrick Evans noted: "Since acquiring Fenn-Gib three years ago, Mayfair has increased the open-pit resource by over 70 per cent, advanced drilling on the Footwall and Contact zone discoveries, advanced baseline environmental studies, completed prefeasibility-level metallurgical studies, and now completed prefeasibility-level geotechnical studies. We are now preparing to commence a prefeasibility study, which we expect to be completed by mid-2024."

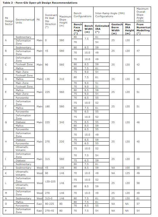
Mayfair Gold contracted InnovExplo Inc. to manage the geotechnical and hydrogeology campaign. Field data were collected from geomechanical drilling, televiewer and hydrogeological analyses to support laboratory testing. Seven geomechanical holes were drilled (3,228 m) and 11 holes were surveyed using televiewer (5,306 m). A total of 395 laboratory tests were performed to characterize the rock mass, along with various point load tests and other tests.

The geological and geomechanical surveys described eight distinct geomechanical units -- including the deformation zone, mafics and sedimentary units, which form most of the modelled pit walls. Laboratory tests (including uniaxial compressive tests, Brazilian tests and triaxial tests) were carried out on all geomechanical units, except for the diabase and the ultramafic volcanic units. All geomechanical units demonstrated good rock mass quality based on the RMR89, Q-system and GSI classifications, except for the diabase, which has an average Q-value of weak. The mafics, main zone and sedimentary units yielded the best properties from the laboratory tests, with uniaxial compressive strength estimated over 100 MPa. The deformation, footwall and pyroxenite zones showed lower property values.

Mr. Evans added: "The geotechnical study confirms the potential to extend the Fenn-Gib open pit to below 550 m. This is attributable to highly favourable broadly disseminated nature of the Fenn-Gib gold mineralization and the competence of the country rock. At a conservative overall pit slope of 45 degrees, the Fenn-Gib open pit could be safely developed to a depth of 560 m. This would place Fenn-Gib among the deepest open pits globally."

Following completion of the planned prefeasibility study, further geotechnical data will be collected to support final mine design at feasibility level.

About Mayfair Gold Corp.

Mayfair Gold is a Canadian mineral exploration company focused on advancing the 100-per-cent-controlled Fenn-Gib gold project in the top-tier mining region of Timmins, Northern Ontario. The Fenn-Gib gold deposit is Mayfair's flagship asset and currently hosts an updated NI 43-101 resource estimate with an effective date of April 6, 2023, with a total indicated resource of 113.69 Mt containing 3.38 Moz at a grade of 0.93 g/t Au and an inferred resource of 5.72 Mt containing 160,000 ounces at a grade of 0.85 g/t Au at a 0.40 g/t Au cut-off grade. The Fenn-Gib deposit has a strike length of over 1.5 km with widths ranging over 500 m. The gold mineralized zones remain open at depth and along strike to the east and west. Recently completed metallurgical tests confirm that the Fenn-Gib deposit can deliver robust gold recoveries of up to 94 per cent.

Qualified person statement

Mayfair Gold's disclosure of technical and scientific information in this news release has been reviewed and approved by Howard Bird, PGeo, vice- president, exploratio, for the company, who serves as a qualified person under the definition of National Instrument 43-101.

We seek Safe Harbor.

© 2026 Canjex Publishing Ltd. All rights reserved.