17:30:46 EST Sat 07 Feb 2026
Enter Symbol
or Name
USA
CA



Benton Resources Inc
Symbol BEX
Shares Issued 165,519,287
Close 2023-12-13 C$ 0.155
Market Cap C$ 25,655,489
Recent Sedar+ Documents

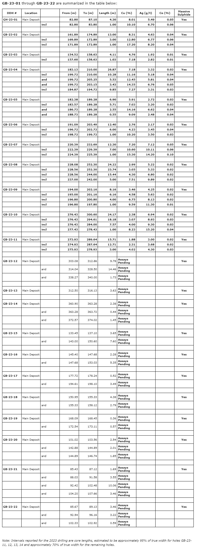
Benton drills 18.18 m of 3.07% Cu at Great Burnt

2023-12-13 13:17 ET - News Release

Mr. Stephen Stares reports

BENTON EXPANDS THE GREAT BURNT COPPER DEPOSIT WITH THREE NEW DRILL HOLES, INCLUDING ONE INTERSECTION OF 18.18M GRADING 3.07% COPPER

Benton Resources Inc. has received additional excellent assay results from its recently completed drill program at the Great Burnt Copper deposit in south-central Newfoundland. The Company has significantly expanded the deposit up dip and along strike with the latest three drill holes, GB-23-09, 10 and 11. Highlights of these holes include GB-23-10, which intersected a wide interval of stringer, disseminated, semi-massive and massive sulphides grading 2.38% Cu over 24.17m, including 3.07% Cu over 18.18m, including 4.00% Cu over 7.57m, including 8.23% Cu over 1.00m.

The Company continues to be impressed with the success of its inaugural Phase 1 drill program. These results demonstrate significant expansion of this high-grade system where it remains open up dip, down plunge and along strike. Holes GB-23-09 and 11 also yielded very impressive results with GB-23-09 intersecting 3.46% Cu over 8.16m, including 4.58% Cu over 6.16m, including 6.75% Cu over 4.00m, including 9.59% Cu over 1.00m and GB-23-11 grading 1.88% Cu over 15.71m, including 2.31% Cu over 12.71m, including 4.02% Cu over 3.00m.

President and CEO Stephen Stares states, "These latest results continue to demonstrate the potential for significant expansion of the robust system at Great Burnt. We are looking forward to further assay results as we prepare for our winter exploration program designed to expand the deposit."

QA/QC Protocols

Core and rock samples, including standards, blanks and duplicates, are submitted to Eastern Analytical Ltd., Springdale, Newfoundland for preparation and analysis. All samples were acquired by saw-cut (channels/drill core) with one-half submitted for assay and one-half retained for reference, or hand (rocks) and delivered, by Benton personnel, in sealed bags, to the Springdale lab of Eastern Analytical, which is an accredited assay lab that conforms to the requirements of ISO/IEC 17025. Samples are analyzed using Eastern's Au (Fire assay) @ 30g + ICP-34 method that delivers a 35-element package utilizing a 200mg subsample totally dissolved in four acids and analyzed by ICP-OES analytical technique. Overlimits are analysed with Eastern's atomic absorption method, using a 0.200g to 2.00g of sample, digested with three acids. All reported assays are uncut. Eastern Analytical Ltd. achieved ISO 17025 accreditation in February 2014 (for more details on the scope of accreditation visit the CALA website).

QP

Stephen House (P.Geo.), Vice President of Exploration for Benton Resources Inc., the 'Qualified Person' under National Instrument 43-101, has approved the scientific and technical disclosure in this news release and prepared or supervised its preparation.

About Benton Resources Inc.

Benton Resources is a well-financed mineral exploration company listed on the TSX Venture Exchange under the symbol BEX. Following a project generation business model, Benton has a diversified, highly prospective property portfolio of gold, silver, nickel, copper, platinum group elements and, most recently, lithium and cesium assets. In addition, it currently holds large equity positions in other mining companies that are advancing high-quality assets. Whenever possible, BEX retains net smelter return (NSR) royalties with potential long-term cash flow.

We seek Safe Harbor.

© 2026 Canjex Publishing Ltd. All rights reserved.