15:21:41 EST Sat 07 Feb 2026
Enter Symbol
or Name
USA
CA



Benton Resources Inc
Symbol BEX
Shares Issued 165,269,287
Close 2023-11-14 C$ 0.17
Market Cap C$ 28,095,779
Recent Sedar+ Documents

Benton Resources continues Great Burnt drilling

2023-11-14 11:59 ET - News Release

Mr. Stephen Stares reports

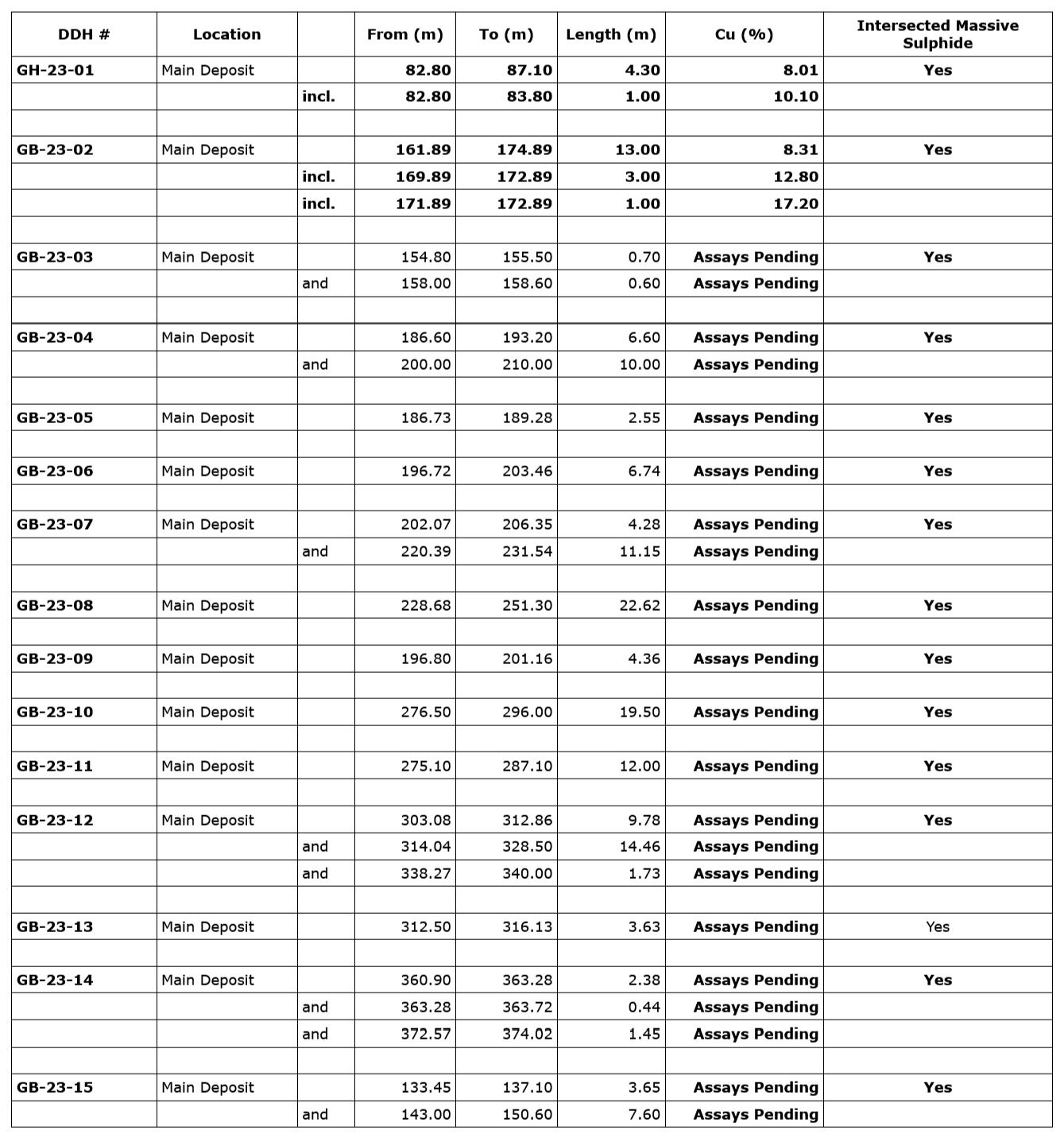
BENTON CONTINUES TO INTERSECT COPPER-RICH SEMI-MASSIVE/MASSIVE SULPHIDES IN DRILLING, UP TO 25.42M THICK AT GREAT BURNT

Benton Resources Inc. is continuing to hit significant semi-massive and massive sulphides in drilling at the Great Burnt copper-gold project in Newfoundland. The company released assays from the first two drill holes on Nov. 1, 2023, with copper grades of 4.13 per cent copper (Cu) over 3.25 metres (m) and 8.01 per cent Cu over 4.30 m (GB-23-01) and 8.31 per cent Cu over 13.0 m (GB-23-02).

Benton has now completed 4,213 m of drilling in 15 holes, which have all intersected semi-massive and massive sulphides containing significant chalcopyrite (copper) mineralization. The current program continues to be very effective in expanding the Great Burnt high-grade core in the main deposit and expansion of the deposit downplunge and along strike to the south. The company's news release dated Nov. 1, 2023, described drill holes GB-23-01 through GB-23-11. Holes GB-23-12 to GB-23-15 are additionally summarized in the attached table.

In addition to drilling, compilation of the extensive historical data is continuing and prospecting and soil geochemical sampling continue to the north of the main Great Burnt deposit.

Drilling from 2016 to 2020 at Great Burnt copper-gold project

The Great Burnt main zone has a National Instrument 43-101-compliant resource prepared in 2022 for Spruce Ridge Resources Ltd. by P&E Mining Consultants Inc. of 667,000 tonnes (47.2 million pounds (Mlb)) Cu at 3.21 per cent (indicated) and 482,000 tonnes (25.0 Mlb) Cu at 2.35 per cent (inferred), contained within mining lease 211 (10210M). The copper resource remains open to the south and at depth. Highlights of the previous drill programs include:

  • GB20-05: 27.20 m of 8.06 per cent Cu, including 7.75 m of 16.88 per cent Cu;
  • GB20-20: 22.75 m of 6.89 per cent Cu, including 12.55 m of 10.59 per cent Cu;
  • GB18-05: 20.94 m of 6.21 per cent Cu, including 6.98 m of 10.71 per cent Cu;
  • GB18-06: 9.97 m of 7.45 per cent Cu, including 5.03 m of 11.42 per cent Cu;
  • GB16-08: 7.50 m of 9.45 per cent Cu, including 3.00 m of 19.30 per cent Cu;
  • GB16-09: 5.75 m of 6.68 per cent Cu, including 1.50 m of 11.70 per cent Cu.

Exploration at the South Pond zone has identified potential for both copper and gold along several kilometres of strike. Highlights of the 2021 drill program include:

  • SP21-01: 1.69 grams per tonne (g/t) gold (Au) over 51.00 m, including 3.19 g/t Au over 11.00 m, within 10 m of surface;
  • SP21-03: 2.36 g/t Au over 15.00 m, including 11.33 g/t Au over 1.00 m;
  • SP21-08: 1.75 g/t Au over 21.20 m, including 2.82 g/t Au over 10.20 m;
  • SP21-11: 1.34 g/t Au over 17.60 m, including 2.48 g/t Au over 4.20 m
  • SP21-14: 2.06 g/t Au over 21.00 m;
  • SP21-16: 1.72 g/t Au over 10.00 m.

QP (qualfied person)

Stephen House (PGeo), vice-president of exploration for Benton Resources, the qualified person under National Instrument 43-101, has approved the scientific and technical disclosure in this news release and prepared or supervised its preparation.

About Benton Resources Inc.

Benton Resources is a well-financed mineral exploration company listed on the TSX Venture Exchange under the symbol BEX. Following a project generation business model, Benton has a diversified, highly prospective property portfolio of gold, silver, nickel, copper, platinum group elements, and, most recently, lithium and cesium assets. In addition, it currently holds large equity positions in other mining companies that are advancing high-quality assets.

We seek Safe Harbor.

© 2026 Canjex Publishing Ltd. All rights reserved.